【药物名称】
化学结构式(Chemical Structure):
参考文献No.578653
标题:A new class of HIV-1 integrase inhibitors: The 3,3,3',3'-tetramethyl-1,1'-spirobi (indan)-5',5',6,6'-tetrol family
作者:Molteni, V.; Rhodes, D.; Rubins, K.; Hansen, M.; Bushman, F.D.; Siegel, J.S.
来源:J Med Chem 2000,43(10),2031
合成路线图解说明:

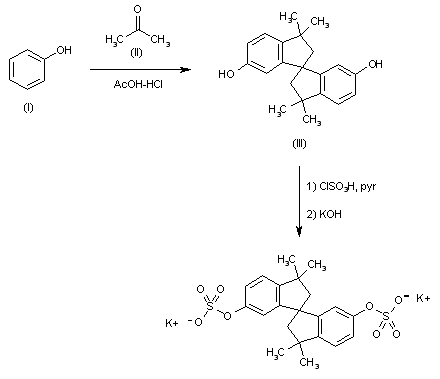
Condensation of phenol (I) with acetone (II) in refluxing HOAc/HCl affords diol (III), which is finally converted into the desired compound by first reaction with chlorosulfonic acid in pyridine followed by treatment with aqueous KOH.

Drug Information Express,Drug R&D,Chemical Database,Patent Search.
Copyright © 2006-2026 Drug Future. All rights reserved.Contact Us