【药物名称】Fludarabine, NSC-118218, 2-F-ara-A
化学结构式(Chemical Structure):
参考文献No.636507
标题:F-ARA-A
作者:Blancafort, P.; Serradell, M.N.; Casta馿r, J.; Hopkins, S.J.
来源:Drugs Fut 1982,7(8),561
合成路线图解说明:

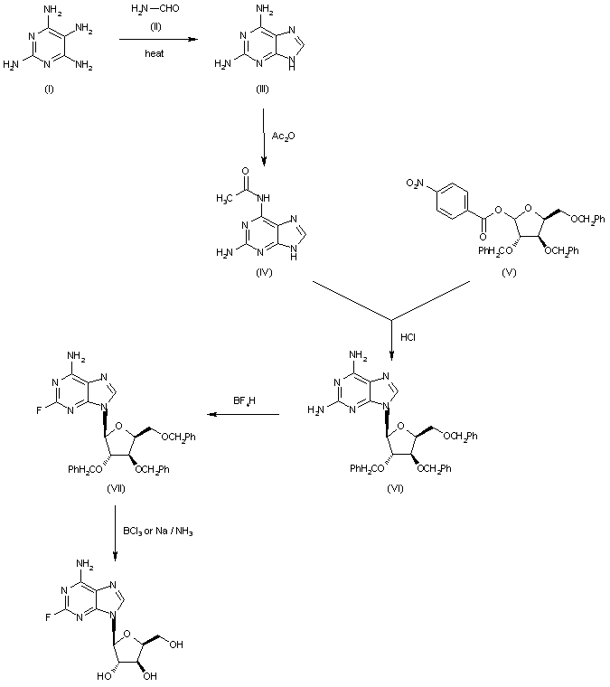
This compound can be obtained by two different ways: 1) The cyclization of 2,4,5,6-tetraaminopyrimidine (I) with refluxing formamide (II) gives 2-aminoadenine (III), which is acetylated by treatment with acetic anhydride in refluxing pyridine to yield 2,6-diacetamidopurine (IV). The condensation of (IV) with 2,3,5-tri-O-benzyl-1-O-p-nitrobenzoyl-D-arabinofuranose (V) by treatment with HCl in CH2Cl2 affords 2-amino-9-(2,3,5-tri-O-benzyl-beta-D-arabinofuranosyl)adenine (VI) which is fluorinated by reaction with HBF4 in THF giving 9-(2,3,5-tri-O-benzyl-beta-D-arabinofuranosyl)-2-fluoroadenine (VII). Finally this compound is debenzylated by treatment with BCl3 in CH2Cl2 or with Na in liquid NH3.

合成路线图解说明:

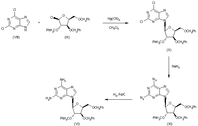
2) The condensation of 2,6-dichloropurine (VIII) with 2,3,5-tri-O-benzyl-D-arabinofuranosyl chloride (IX) by means of Hg(CN)2 in CH2Cl2 gives 9-(2,3,5-tri-O-benzyl-D-arabinofuranosyl)-2,6-dichloropurine (X), which is treated with NaN3 in refluxing ethanol - water to yield 2,6-diazido-9-(2,3,6-tri-O-benzyl-D-arabinofuranosyl)purine (XI). Finally this compound is reduced with H2 over Pd/C in ethanol to afford adenine (VI).

参考文献No.900615
标题:
作者:Montgomery, J.A.
来源:US 4210745
合成路线图解说明:

This compound can be obtained by two different ways: 1) The cyclization of 2,4,5,6-tetraaminopyrimidine (I) with refluxing formamide (II) gives 2-aminoadenine (III), which is acetylated by treatment with acetic anhydride in refluxing pyridine to yield 2,6-diacetamidopurine (IV). The condensation of (IV) with 2,3,5-tri-O-benzyl-1-O-p-nitrobenzoyl-D-arabinofuranose (V) by treatment with HCl in CH2Cl2 affords 2-amino-9-(2,3,5-tri-O-benzyl-beta-D-arabinofuranosyl)adenine (VI) which is fluorinated by reaction with HBF4 in THF giving 9-(2,3,5-tri-O-benzyl-beta-D-arabinofuranosyl)-2-fluoroadenine (VII). Finally this compound is debenzylated by treatment with BCl3 in CH2Cl2 or with Na in liquid NH3.

参考文献No.900616
标题:
作者:Montgomery, J.A.
来源:US 4188378
合成路线图解说明:

2) The condensation of 2,6-dichloropurine (VIII) with 2,3,5-tri-O-benzyl-D-arabinofuranosyl chloride (IX) by means of Hg(CN)2 in CH2Cl2 gives 9-(2,3,5-tri-O-benzyl-D-arabinofuranosyl)-2,6-dichloropurine (X), which is treated with NaN3 in refluxing ethanol - water to yield 2,6-diazido-9-(2,3,6-tri-O-benzyl-D-arabinofuranosyl)purine (XI). Finally this compound is reduced with H2 over Pd/C in ethanol to afford adenine (VI).

参考文献No.950416
标题:An improved procedure for the preparation of 9-B-D-arabinofuranosyl-2-fluoroadenine
作者:Montgomery, J.A.; Clayton, S.D.; Shortnacy, A.T.
来源:J Heterocycl Chem 1979,16(1),157-160
合成路线图解说明:

This compound can be obtained by two different ways: 1) The cyclization of 2,4,5,6-tetraaminopyrimidine (I) with refluxing formamide (II) gives 2-aminoadenine (III), which is acetylated by treatment with acetic anhydride in refluxing pyridine to yield 2,6-diacetamidopurine (IV). The condensation of (IV) with 2,3,5-tri-O-benzyl-1-O-p-nitrobenzoyl-D-arabinofuranose (V) by treatment with HCl in CH2Cl2 affords 2-amino-9-(2,3,5-tri-O-benzyl-beta-D-arabinofuranosyl)adenine (VI) which is fluorinated by reaction with HBF4 in THF giving 9-(2,3,5-tri-O-benzyl-beta-D-arabinofuranosyl)-2-fluoroadenine (VII). Finally this compound is debenzylated by treatment with BCl3 in CH2Cl2 or with Na in liquid NH3.

参考文献No.950417
标题:Nucleosides of 2-fluoroadenine
作者:Montgomery, J.A.; Hewson, K.
来源:J Med Chem 1969,12498-504
合成路线图解说明:

2) The condensation of 2,6-dichloropurine (VIII) with 2,3,5-tri-O-benzyl-D-arabinofuranosyl chloride (IX) by means of Hg(CN)2 in CH2Cl2 gives 9-(2,3,5-tri-O-benzyl-D-arabinofuranosyl)-2,6-dichloropurine (X), which is treated with NaN3 in refluxing ethanol - water to yield 2,6-diazido-9-(2,3,6-tri-O-benzyl-D-arabinofuranosyl)purine (XI). Finally this compound is reduced with H2 over Pd/C in ethanol to afford adenine (VI).

Drug Information Express,Drug R&D,Chemical Database,Patent Search.
Copyright © 2006-2026 Drug Future. All rights reserved.Contact Us