【药物名称】VUF-5574
化学结构式(Chemical Structure):
参考文献No.578656
标题:Isoquinoline and quinazoline urea analogues as antagonists for the human adenosine A3 receptor
作者:van Muijlwijk-Koezen, J.E.; Timmerman, H.; van der Goot, H.; Menge, W.M.P.B.; Frijtag von Drabbe K黱zel, J.; de Groote, M.; Ijzerman, A.P.
来源:J Med Chem 2000,43(11),2227
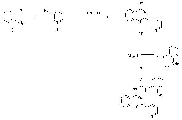
合成路线图解说明:

The amide anion obtained from 2-aminobenzonitrile (I) and NaH in THF was added to 3-cyanopyridine (II) yielding 2-(3-pyridyl)-4-aminoquinazoline (III). This was then condensed with 2-methoxyphenyl isocyanate (IV) to furnish the title urea.

Drug Information Express,Drug R&D,Chemical Database,Patent Search.
Copyright © 2006-2026 Drug Future. All rights reserved.Contact Us