【药物名称】
化学结构式(Chemical Structure):
参考文献No.575244
标题:In vitro efficacy of 2,7-dialkylamino-[1,8]-naphtyridines against influenza viruses A and B
作者:Schmidtke, M.; et al.
来源:Antivir Res 2000,46(1),Abst 84
合成路线图解说明:

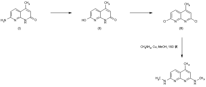
Hydroxynaphthyridinone (II), prepared from the amino derivative (I), was chlorinated to give dichloronaphthyridine (III). Subsequent copper-catalyzed substitution of both chloro groups by methylamine yielded the title compound.

参考文献No.584181
标题:Fluorescent 2,7-dialkylamino-[1,8]-naphthyridines: Preparation and spectroscopic properties
作者:Hoock, C.; et al.
来源:Molecules 1999,4264
合成路线图解说明:

Hydroxynaphthyridinone (II), prepared from the amino derivative (I), was chlorinated to give dichloronaphthyridine (III). Subsequent copper-catalyzed substitution of both chloro groups by methylamine yielded the title compound.

参考文献No.803903
标题:In vitro efficacy of 2,7-dialkylamino-[1,8]-naphtyridines against influenza viruses A and B
作者:Schmidtke, M.; et al.
来源:13th Intl Conf Antiviral Res 2000,84
合成路线图解说明:

Hydroxynaphthyridinone (II), prepared from the amino derivative (I), was chlorinated to give dichloronaphthyridine (III). Subsequent copper-catalyzed substitution of both chloro groups by methylamine yielded the title compound.

Drug Information Express,Drug R&D,Chemical Database,Patent Search.
Copyright © 2006-2026 Drug Future. All rights reserved.Contact Us