【药物名称】SB-425076
化学结构式(Chemical Structure):
参考文献No.43066
标题:Quinolones as t-RNA synthetase inhibitors and antibacterial agents
作者:Berge, J.M.; Forrest, A.K.; Elder, J.S.; Jarvest, R.L. (GlaxoSmithKline plc)
来源:WO 0021949
合成路线图解说明:

Condensation of 4-ethylaniline (I) with propiolactone (II) produces the beta-aminoacid (III). Intramolecular Friedel-Crafts cyclization of (III) by means of polyphosphoric acid leads to the quinolinone (IV). Then, electrophilic iodination of (IV) by using iodine monochloride provides the intermediate (V)

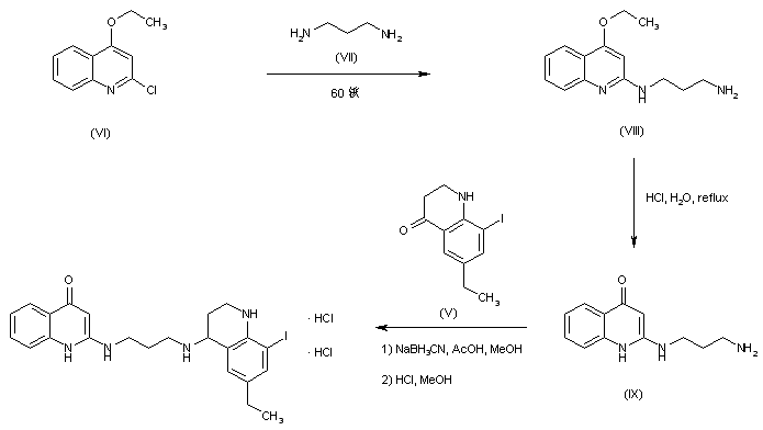
合成路线图解说明:

Displacement of 2-chloro-4-ethoxyquinoline (VI) with 1,3-propanediamine (VII) affords the aminoquinoline (VIII). Subsequent acidic hydrolysis of (VIII) provides quinolinone (IX). Finally, reductive condensation between amine (IX) and ketone (V) in the presence of NaBH3CN leads to the target disubstituted propanediamine

参考文献No.667044
标题:Nanomolar inhibitors of Staphylococcus aureus methionyl tRNA synthetase with potent antibacterial activity against Gram-positive pathogens
作者:Jarvest, R.L.; Berge, J.M.; Berry, V.; Boyd, H.F.; Brown, M.J.B.; Elder, J.S.; Forrest, A.K.; Fosberry, A.P.; Gentry, D.R.; Hibbs, M.J.; Jaworski, D.D.; O'Hanlon, P.J.; Pope, A.J.; Rittenhouse, S.; Sheppard, R.J.; Slater-Radosti, C.; Worby, A.
来源:J Med Chem 2002,45(10),1959
合成路线图解说明:

Condensation of 4-ethylaniline (I) with propiolactone (II) produces the beta-aminoacid (III). Intramolecular Friedel-Crafts cyclization of (III) by means of polyphosphoric acid leads to the quinolinone (IV). Then, electrophilic iodination of (IV) by using iodine monochloride provides the intermediate (V)

合成路线图解说明:

Displacement of 2-chloro-4-ethoxyquinoline (VI) with 1,3-propanediamine (VII) affords the aminoquinoline (VIII). Subsequent acidic hydrolysis of (VIII) provides quinolinone (IX). Finally, reductive condensation between amine (IX) and ketone (V) in the presence of NaBH3CN leads to the target disubstituted propanediamine

Drug Information Express,Drug R&D,Chemical Database,Patent Search.
Copyright © 2006-2026 Drug Future. All rights reserved.Contact Us