【药物名称】
化学结构式(Chemical Structure):
参考文献No.577370
标题:Guanylpiperidine peptidomimetics: Potent and selective bis-cation inhibitors of factor Xa
作者:Tamura, S.Y.; Levy, O.E.; Uong, T.H.; Reiner, J.E.; Goldman, E.A.; Ho, J.Z.; Cohen, C.R.; Bergum, P.W.; Nutt, R.F.; Brunck, T.K.; Semple, J.E.
来源:Bioorg Med Chem Lett 2000,10(8),745
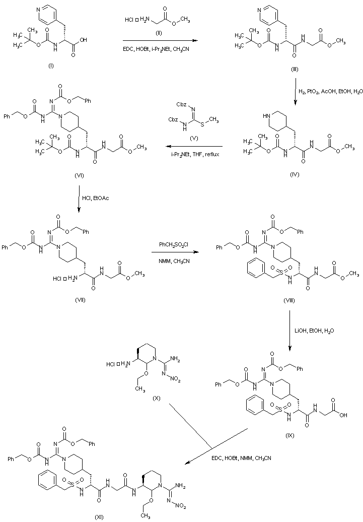
合成路线图解说明:

Coupling of N-Boc-D-pyridylalanine (I) to glycine methyl ester (II) produced the protected dipeptide (III). Subsequent catalytic hydrogenation of the pyridine ring of (III) over PtO2 gave piperidine (IV), which was then treated with the guanylating reagent (V) to afford the guanidine derivative (VI). Acid cleavage of the Boc protecting group of (VI) provided amine (VII). This was condensed with benzylsulfonyl chloride to give sulfonamide (VIII). After basic hydrolysis of the methyl ester of (VIII), the resultant carboxylic acid (IX) was coupled to nitroargininal ethyl aminal (X), yielding amide (XI).

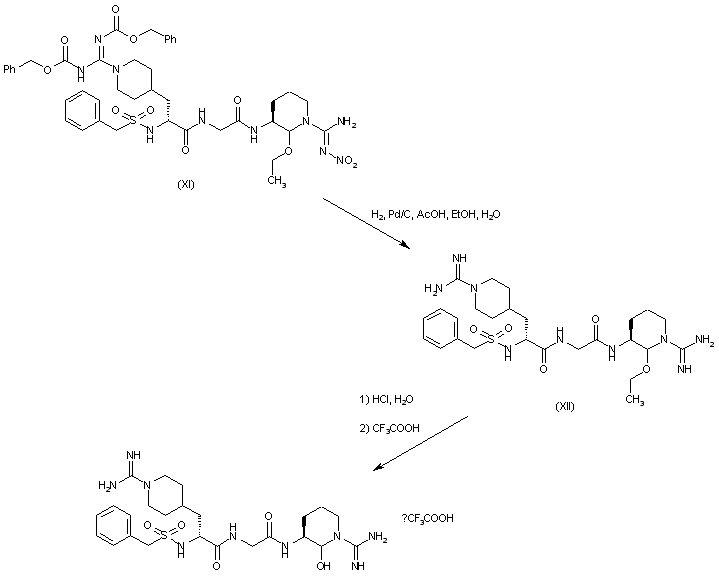
合成路线图解说明:

Hydrogenolysis of the carbobenzoxy and nitro protecting groups of (XI) furnished (XII). Finally, mild acid hydrolysis of the ethyl aminal group of (XII) gave the title compound, which was isolated as the trifluoroacetate salt.

Drug Information Express,Drug R&D,Chemical Database,Patent Search.
Copyright © 2006-2026 Drug Future. All rights reserved.Contact Us