【药物名称】
化学结构式(Chemical Structure):
参考文献No.577378
标题:N-Benzylpyroglutamyl-L-phenylanine derivatives as VCAM/VLA-4 antagonists
作者:Chen, L.; Tilley, J.W.; Guthrie, R.W.; Mennona, F.; Huang, T.N.; Kaplan, G.; Trilles, R.; Miklowski, D.; Huby, N.; Schwinge, V.; Wolitzky, B.; Rowan, K.
来源:Bioorg Med Chem Lett 2000,10(8),729
合成路线图解说明:

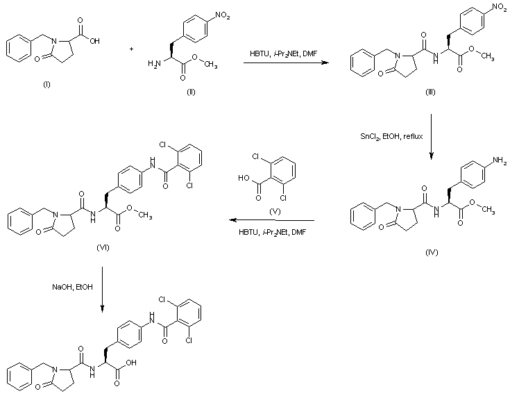
Coupling of N-benzylpyroglutamic acid (I) with 4-nitrophenylalanine methyl ester (II) by means of O-benzotriazolyl-N,N,N?N?tetramethyluronium hexafluorophosphate (HBTU) produced amide (III). After stannous chloride mediated reduction of the nitro group of (III), the resulting aniline (IV) was coupled with 2,6-dichlorobenzoic acid (V) to give diamide (VI). The title carboxylic acid was then obtained by ester hydrolysis with NaOH.

Drug Information Express,Drug R&D,Chemical Database,Patent Search.
Copyright © 2006-2026 Drug Future. All rights reserved.Contact Us