【药物名称】
化学结构式(Chemical Structure):
参考文献No.577368
标题:alpha-Ketoamides, alpha-ketoesters and alpha-diketones as HCV NS3 protease inhibitors
作者:Han, W.; Hu, Z.; Jiang, X.; Decicco, C.P.
来源:Bioorg Med Chem Lett 2000,10(8),711
合成路线图解说明:

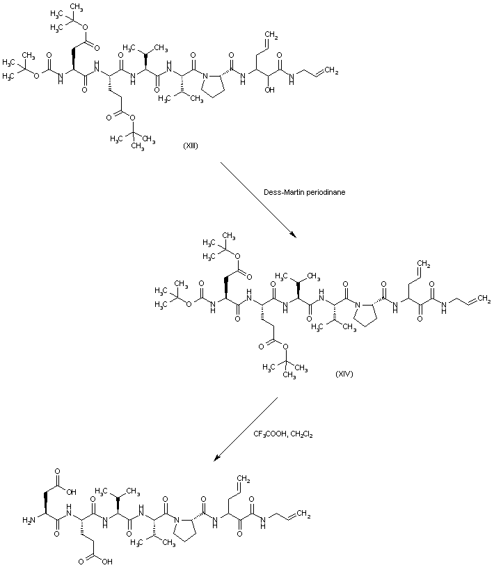
Racemic allylglycine (I) was protected as the N-Boc derivative (II) and then converted to the Weinreb amide (III) by treatment with N,O-dimethylhydroxylamine and BOP. Reduction of (III) with LiAlH4 afforded aldehyde (IV), which, upon treatment with acetone cyanohydrin (V), furnished the corresponding hydroxy nitrile (VI). Acid hydrolysis of the nitrile (VI) with concomitant Boc group deprotection provided hydroxy acid (VII), which was further reprotected as the N-Boc derivative (VIII). Coupling of hydroxy acid (VIII) with allylamine (IX) yielded amide (X). After Boc group cleavage with HCl in dioxan, the resulting amine (XI) was coupled with pentapeptide (XII) (obtained using a peptide synthesizer under standard conditions), to give the alpha-hydroxyamide (XIII).

合成路线图解说明:

This was converted to the keto amide (XIV) by Dess-Martin oxidation. Acidic deprotection of the tert-butyl groups of (XIV) then furnished the title compound.

Drug Information Express,Drug R&D,Chemical Database,Patent Search.
Copyright © 2006-2026 Drug Future. All rights reserved.Contact Us