【药物名称】LWH-154
化学结构式(Chemical Structure):
参考文献No.24146
标题:Pyrrolopyrimidines as CRF antagonists
作者:Chen, Y.L. (Pfizer Inc.)
来源:EP 0674641; JP 1995509726; WO 9413676
合成路线图解说明:

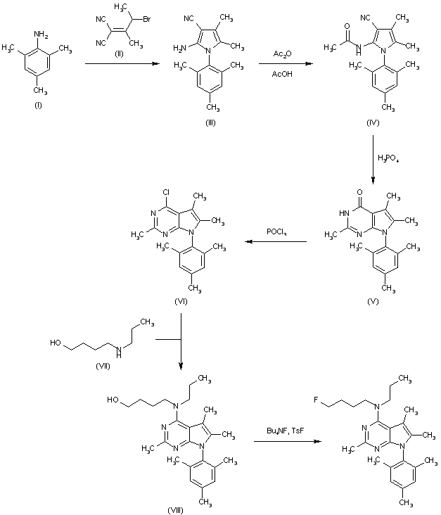
Condensation of 2,4,6-trimethylaniline (I) with malononitrile derivative (II) in isopropanol yields carbonitrile (III), which is then acetylated by means of Ac2O in HOAc to provide acetamide (IV). Cyclization of (IV) is induced by treatment with phosphoric acid to furnish pyrimidinone (V), which is then converted into chloro derivative (VI) in refluxing POCl3 (1). Coupling of (VI) with secondary amine (VII) in DMSO affords compound (VIII), which is finally fluorinated by treatment with tetrabutylammonium fluoride (TBAF) and toluenesulfonyl fluoride (TsF) in refluxing THF.

参考文献No.577367
标题:Synthesis and biological activity of fluoro-substituted pyrrolo[2,3-d]pyrimidines: The development of potential positron emission tomography imaging agents for the corticotropin-releasing hormone type 1 receptor
作者:Hsin, L.W.; Webster, E.L.; Chrousos, G.P.; Gold, P.W.; Eckelman, W.C.; Contoreggi, C.; Rice, K.C.
来源:Bioorg Med Chem Lett 2000,10(8),707
合成路线图解说明:

Condensation of 2,4,6-trimethylaniline (I) with malononitrile derivative (II) in isopropanol yields carbonitrile (III), which is then acetylated by means of Ac2O in HOAc to provide acetamide (IV). Cyclization of (IV) is induced by treatment with phosphoric acid to furnish pyrimidinone (V), which is then converted into chloro derivative (VI) in refluxing POCl3 (1). Coupling of (VI) with secondary amine (VII) in DMSO affords compound (VIII), which is finally fluorinated by treatment with tetrabutylammonium fluoride (TBAF) and toluenesulfonyl fluoride (TsF) in refluxing THF.

参考文献No.589473
标题:Synthesis of [3H] (4-fluorobutyl)propyl[2,5,6-trimethyl-7-(2,4,6-trimethylphenyl)pyrrolo[2,3-d]pyrimidin-4-yl]amine: A potent radioligand for corticotropin-releasing hormone type 1 receptor
作者:Gold, P.W.; Contoreggi, C.; Webster, E.L.; Eckelman, W.C.; Rice, K.C.; Hsin, L.-W.; Chrousos, G.P.
来源:J Label Compd Radiopharm 2000,43(9),899
合成路线图解说明:

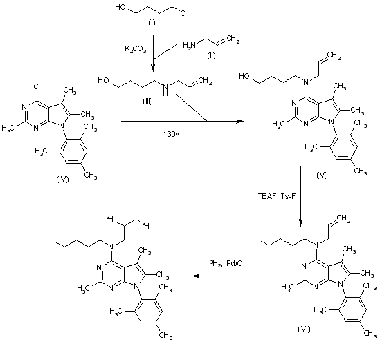
The reaction of 4-chloro-1-butanol (I) with allylamine (II) by means of K2CO3 in refluxing THF gives N-allyl-N-(4-hydroxybutyl)amine (III), which is condensed with the pyrrolo[2,3-d]pyrimidine derivative (IV) by heating at 130 C in DMSO to afford the tertiary amine (V). The reaction of (V) with TBAF and Ts-F in THF provides the 4-fluorobutyl derivative (VI). Finally, the hydrogenation of the allylic double bond of (VI) with H2 over Pd/C in ethanol gives the target LWH-154.

合成路线图解说明:

The reaction of 4-chloro-1-butanol (I) with allylamine (II) by means of K2CO3 in refluxing THF gives N-allyl-N-(4-hydroxybutyl)amine (III), which is condensed with the pyrrolo[2,3-d]pyrimidine derivative (IV) by heating at 130 C in DMSO to afford the tertiary amine (V). The reaction of (V) with TBAF and Ts-F in THF provides the 4-fluorobutyl derivative (VI). Finally, the hydrogenation of the allylic double bond of (VI) with 3H2 over Pd/C in ethanol gives the target tritium-labeled LWH-154.

Drug Information Express,Drug R&D,Chemical Database,Patent Search.
Copyright © 2006-2026 Drug Future. All rights reserved.Contact Us