【药物名称】
化学结构式(Chemical Structure):
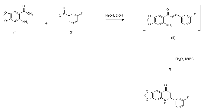
参考文献No.460457
标题:Antitumor agents. 181. Synthesis and biological evaluation of 6,7,2',3',4'-substituted-1,2,3, 4-tetrahydro-2-phenyl-4-quinolones as a new class of antimitotic antitumor agents
作者:Xia, Y.; Yang, Z.Y..; Xia, P.; Bastow, K.F.; Tachibana, Y.; Kuo, S.C.; Hamel, E.; Hackl, T.; Lee, K.H.
来源:J Med Chem 1998,41(7),1155
合成路线图解说明:

The compound was prepared by condensation of acetophenone (I) with 3-flourobenzaldehyde (II) in refluxing ethanolic NaOH, followed by cyclization of the intermediate chalcone in diphenyl ether at 180 C.

合成路线图解说明:

The desired 2'-amino chalcone is synthesized by a base-catalyzed condensation of 2-amino acetophenone (I) and benzaldehyde (II) by means of aqueous NaOH in EtOH.

参考文献No.577365
标题:Antitumor agents. Part 202: Novel 2'-amino chalcones: Design, synthesis and biological evaluation
作者:Xia, Y.; Yang, Z.Y.; Xia, P.; Bastow, K.F.; Nakanishi, Y.; Lee, K.H.
来源:Bioorg Med Chem Lett 2000,10(8),699
合成路线图解说明:

The desired 2'-amino chalcone is synthesized by a base-catalyzed condensation of 2-amino acetophenone (I) and benzaldehyde (II) by means of aqueous NaOH in EtOH.

Drug Information Express,Drug R&D,Chemical Database,Patent Search.
Copyright © 2006-2026 Drug Future. All rights reserved.Contact Us