【药物名称】Z-360
化学结构式(Chemical Structure):
参考文献No.36954
标题:1,5-Benzodiazepine derivs.
作者:Murata, M.; Shinozaki, K.; Yoneta, T.; Miura, N.; Maeda, K. (Zeria Pharmaceutical Co., Ltd.)
来源:EP 0945445; US 6239131; WO 9825911
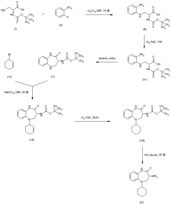
合成路线图解说明:

The condensation of the mono-protected 2,3-diaminopropionic acid (I) with 2-fluoronitrobenzene (II) produced the nitro acid (III). After catalytic hydrogenation of the nitro group of (III), the resulting amino acid (IV) was cyclized to the benzodiazepinone (V) upon refluxing in toluene. Alkylation of (V) with cyclohexenyl bromide (VI) afforded the 5-cyclohexenyl benzodiazepinone (VII), which was further hydrogenated to the cyclohexyl derivative (VIII). Acid cleavage of the Boc protecting group of (VIII) furnished the aminobenzodiazepinone (IX).

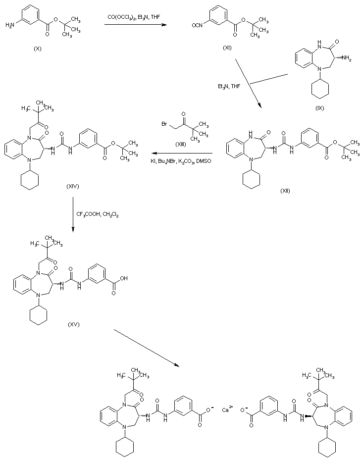
合成路线图解说明:

Isocyanate (XI) was prepared by treatment of tert-butyl 3-aminobenzoate (X) with triphosgene and triethylamine. Coupling of isocyanate (XI) with amine (IX) gave rise to the urea (XII). The lactam N of (XII) was then alkylated with bromomethyl tert-butyl ketone (XIII) in the presence of K2CO3 and tetrabutylammonium bromide to give (XIV). Cleavage of the tert-butyl ester group of (XIV) with trifluoroacetic acid yielded the carboxylic acid (XV), which was finally isolated as the corresponding calcium salt.

Drug Information Express,Drug R&D,Chemical Database,Patent Search.
Copyright © 2006-2026 Drug Future. All rights reserved.Contact Us