【药物名称】ST-293, WX-293, WX-293T
化学结构式(Chemical Structure):
参考文献No.48012
标题:Selective inhibitors of the urokinase plasminogene activators
作者:Magdolen, V.; Moroder, L.; Sperl, S.; St黵zebecher, J.; Wilhelm, O. (Wilex Biotechnology GmbH)
来源:DE 19940389; WO 0114324
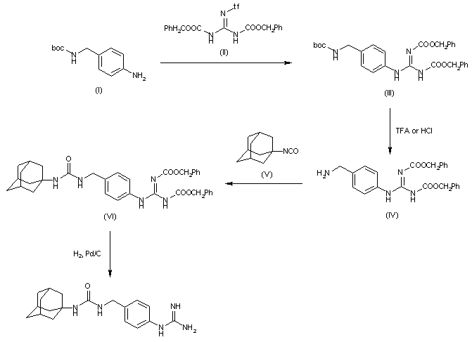
合成路线图解说明:

Guanidilation of substituted aniline (I) with protected guanidine (II) provides derivative (III), whose Boc group is removed by treatment with TFA or HCl to afford (4-aminomethyl)phenyl-2,3-di(benzyloxycarbonyl)guanidine (IV). Finally, the target product is obtained by coupling of (IV) with 1-adamantyl-isocyanate (V), followed by removal of the protecting group by hydrogenation over Pd/C.

参考文献No.589268
标题:(4-Aminomethyl)phenylguanidine derivatives as nonpeptidic highly selective inhibitors of human urokinase
作者:Sperl, S.; Jacob, U.; Arroyo de Prada, N.; St黵zebecher, J.; Wilhelm, O.G.; Bode, W.; Magdolen, V.; Huber, R.; Moroder, L.
来源:Proceedings of the National Academy of Sciences of the United States of America 2000,97(10),5113
合成路线图解说明:

Guanidilation of substituted aniline (I) with protected guanidine (II) provides derivative (III), whose Boc group is removed by treatment with TFA or HCl to afford (4-aminomethyl)phenyl-2,3-di(benzyloxycarbonyl)guanidine (IV). Finally, the target product is obtained by coupling of (IV) with 1-adamantyl-isocyanate (V), followed by removal of the protecting group by hydrogenation over Pd/C.

Drug Information Express,Drug R&D,Chemical Database,Patent Search.
Copyright © 2006-2026 Drug Future. All rights reserved.Contact Us