【药物名称】APC-6336
化学结构式(Chemical Structure):
参考文献No.42974
标题:Novel cpds. and compsns. for treating hepatitis C infections
作者:Rice, K.; Wang, V.R.; Hataye, J.M.; Shelton, E.J.; Spender, J.R. (Celera Genomics)
来源:WO 0020400
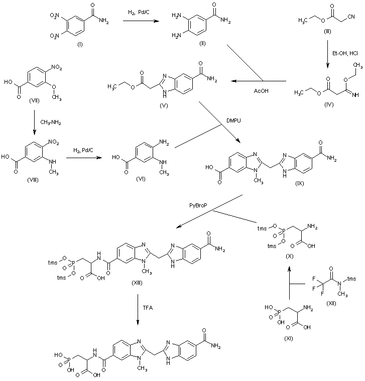
合成路线图解说明:

The reduction of 3,4-dinitrobenzoic acid amide (I) with H2 over Pd/C in methanol gives 3,4-diaminobenzoic acid (II), which is cyclized with 3-ethoxy-3-iminopropionic acid ethyl ester (IV) (obtained by reaction of cyanacetic acid ethyl ester (III) with ethanolic HCl) in hot acetic acid to yield 2-(5-carbamoyl-1H-benzimidazol-2-yl)acetic acid ethyl ester (V). The reaction of 3-methoxy-4-nitrobenzoic acid (VII) with aqueous methylamine in a sealed tube at 100 C gives 3-(methylamino)-4-nitrobenzoic acid (VIII), which is reduced with H2 over Pd/C in methanol/THF to yield 4-amino-3-(methylamino)benzoic acid (VI). The cyclization of (VI) with (V) by means of 1,3-dimethylperhydropyrimidin-2-one (DMPU) at 190 C affords the substituted bis-benzimidazolylmethyl (IX). The reaction of (IX) with 2-amino-3-phosponopropionic acid tris-trimethylsilyl ester (X) (prepared by esterification of 2-amino-3-phosphonopropionic acid (XI) with N-methyl-N-(trimethylsilyl)trifluoroacetamide (XII)) by means of (PyBroP) in DMF provides the carboxamide (XIII). Finally, the cleavage of the trimethylsilyl ester groups by means of TFA furnishes the target phosphonic acid.

Drug Information Express,Drug R&D,Chemical Database,Patent Search.
Copyright © 2006-2026 Drug Future. All rights reserved.Contact Us