【药物名称】BU-99006
化学结构式(Chemical Structure):
参考文献No.576835
标题:Probes for imidazole binding sites: Synthesis and evaluation of a selective, irreversible I2 ligand
作者:Coates, P.A.; Grundt, P.; Robinson, E.S.J.; Nutt, D.J.; Tyacke, R.; Hudson, A.L.; Lewis, J.W.; Husbands, S.M.
来源:Bioorg Med Chem Lett 2000,10(6),605
合成路线图解说明:

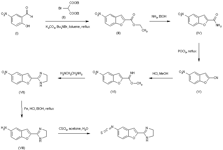
5-Nitrosalicylaldehyde (I) was condensed with diethyl bromomalonate (II) to give ethyl 5-nitrobenzofuran-2-carboxylate (III), which was converted into the corresponding primary amide (IV) by reaction with ethanolic ammonia. Dehydration of amide (IV) to the nitrile (V) was effected by treatment with POCl3. After formation of imidate (VI) with HCl/MeOH, cyclization with ethylenediamine produced the imidazoline (VII). The nitro group of (VII) was then reduced to amine (VIII) using Fe and HCl. This was finally converted to the title isothiocyanate by reaction with thiophosgene.

Drug Information Express,Drug R&D,Chemical Database,Patent Search.
Copyright © 2006-2026 Drug Future. All rights reserved.Contact Us