【药物名称】
化学结构式(Chemical Structure):
参考文献No.37287
标题:Imidazo (1,2-a)-indeno (1,2-e) pyrazin-4-one derivs. and pharmaceutical compsns. containing same
作者:Genevois-Borella, A.; Aloup, J.-C.; Audiau, F.; Barreau, M.; Mignani, S.; Ribeill, Y.; Damour, D.; Jimonet, P. (Aventis Pharma SA)
来源:US 5807859; WO 9526350
合成路线图解说明:

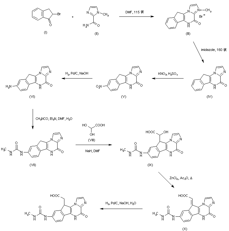
The condensation of 2-bromo-1-indanone (I) with 1-methylimidazole-2-carboxamide (II) in hot DMF produced the tetracyclic ammonium salt (III), which was further demethylated to (IV) by means of imidazole at 160 C. Regioselective nitration of (IV) employing KNO3 in H2SO4 produced nitro derivative (V), which was reduced to amine (VI) by catalytic hydrogenation over Pd/C. Amine (VI) was converted to urea (VII) by treatment with methyl isocyanate. Subsequent base-catalyzed condensation of (VII) with glyoxylic acid monohydrate (VIII) produced hydroxyacid (IX). This was dehydrated with ZnCl2 and acetic anhydride to give unsaturated acid (X), which was finally hydrogenated over Pd/C to furnish the title compound.

合成路线图解说明:

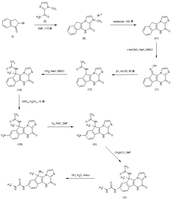
The tetracyclic imidazoindenopyrazinone (IV) was obtained by condensation of 2-bromoindanone (I) with 1-methylimidazole-2-carboxamide (II), followed by demethylation of the resulting imidazolium salt (III) in molten imidazole at 160 C (1). Reaction of (IV) with isoamyl nitrite in the presence of NaH produced oxime (V), which was reduced with zinc powder in acetic acid to yield acetamide (VI). Regioselective methylation of (VI) using methyl iodide and NaH gave (VII). Subsequent nitration of (VII) by means of KNO3 and H2SO4 afforded the 8-nitro derivative (VIII), which was reduced to amine (IX) by hydrogenation over Pd/C. Condensation of amine (IX) with methyl isocyanate in DMF produced urea (X). Finally, the acetamido group of (X) was hydrolyzed in refluxing 6 M HCl.

参考文献No.576832
标题:8-Methylureido-4,5-dihydro-4-oxo-10H-imidazo[1,2-a]indeno[1,2-e]pyrazines: Highly potent in vivo AMPA antagonists
作者:Mignani, S.; Bohme, G.A.; Boireau, A.; Cheve, M.; Damour, D.; Debono, M.W.; Genevois-Borella, A.; Imperato, A.; Jimonet, P.; Pratt, J.; Randle, J.C.; Ribeill,Y.; Vuilhorgne, M.; Stutzmann, J.M.
来源:Bioorg Med Chem Lett 2000,10(6),591
合成路线图解说明:

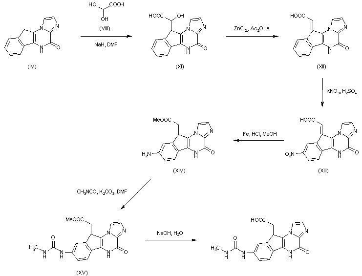
In a related procedure, tetracyclic compound (IV) was first condensed with glyoxylic acid (VIII) giving hydroxyacid (XI), which was dehydrated to (XII) with ZnCl2 and Ac2O. Subsequent nitration of (XII) with KNO3 and H2SO4 afforded nitro derivative (XIII). Reduction of (XIII) with simultaneous esterification using iron and HCl in MeOH gave rise to amino ester (XIV). Urea (XV) was then obtained by condensation of (XIV) with methyl isocyanate. Finally, saponification of the ester group provided the title carboxylic acid.

Drug Information Express,Drug R&D,Chemical Database,Patent Search.
Copyright © 2006-2026 Drug Future. All rights reserved.Contact Us