【药物名称】ER-41666
化学结构式(Chemical Structure):
参考文献No.34369
标题:Fused-ring carboxylic acid derivs.
作者:Tagami, K.; Yoshimura, H.; Nagai, M.; Hibi, S.; Kikuchi, K.; Sato, T.; Okita, M.; Okamoto, Y.; Nagasaka, Y.; Kobayashi, N.; Hida, T.; Tai, K.; Tokuhara, N.; Kobayashi, S. (Eisai Co., Ltd.)
来源:EP 0889032; US 6110959; US 6121309; WO 9734869
合成路线图解说明:

The condensation of 7-ethyl-4-methylbenzofuran-2-carbaldehyde (I) with 4-acryloylbenzoic acid methyl ester (II) by means of 3-benzyl-5-(hydroxymethyl)-4-methylthiazolium chloride (BHMT) in hot DMF gives the 1,4-butanedione (III), which is cyclized with ammonium acetate in refluxing methanol to yield the substituted pyrrole (IV). Finally, the ester group of (IV) is hydrolyzed with NaOH in refluxing ethanol/water.

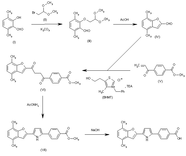
合成路线图解说明:

The condensation of 2-hydroxy-3,6-dimethylbenzaldehyde (I) with 2-bromoacetaldehyde dimethyl acetal (II) by means of K2CO3 in DM gives the phenoxyacetaldehyde acetal (III), which is cyclized by means of acetic acid to yield 4,7-dimethylbenzofuran (IV). The condensation of (IV) with 4-acryloylbenzoic acid methyl ester (V) by means of 3-benzyl-5-(hydroxymethyl)-4-methylthiazolium chloride (BHMT) and TEA in DMF affords the butanedione derivative (VI), which is cyclized to the pyrrole derivative (VII) by means of NH4OAc in refluxing methanol. Finally, the methyl ester group of (VII) is hydrolyzed with NaOH in ethanol to afford the target carboxylic acid.

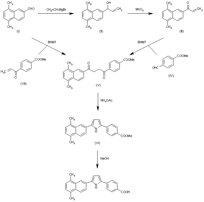
合成路线图解说明:

This compound has been obtained by two related ways: 1) The Grignard reaction of 5,8-dimethylnaphthalene-2-carbaldehyde (I) with vinylmagnesium bromide in ether/THF gives the expected carbinol (II), which is oxidized with MnO2 in dichloromethane yielding the propenone (III). The condensation of (III) with 4-formylbenzoic acid methyl ester (IV) by means of 3-benzyl-5-(hydroxymethyl)-4-methylthiazolium chloride (BHMT) in refluxing ethanol affords the 1,4-butanedione (V), which is cyclized with ammonium acetate in refluxing methanol to give the substituted pyrrole (VI). Finally, the ester group of (V) is hydrolyzed with NaOH in refluxing ethanol/water. 2) 1,4-Butanedione (V) can also be obtained by condensation of 5,8-dimethylnaphthalene-2-carbaldehyde (I) with 4-acryloylbenzoic acid methyl ester (VII) by means of BHMT in hot DMF.

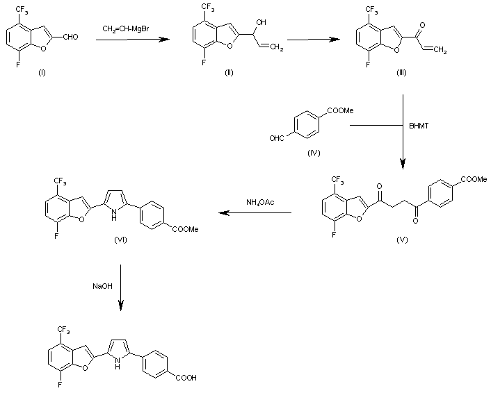
合成路线图解说明:

The Grignard reaction of 7-fluoro-4-(trifluoromethyl)benzofuran-2-carbaldehyde (I) with vinylmagnesium bromide in ether/THF gives the expected carbinol (II), which is oxidized with MnO2 in dichloromethane yielding the propenone (III). The condensation of (III) with 4-formylbenzoic acid methyl ester (IV) by means of 3-benzyl-5-(hydroxymethyl)-4-methylthiazolium chloride (BHMT) in refluxing ethanol affords the 1,4-butanedione (V), which is cyclized with ammonium acetate in refluxing methanol to give the substituted pyrrole (VI). Finally, the ester group of (V) is hydrolyzed with NaOH in refluxing ethanol/water.

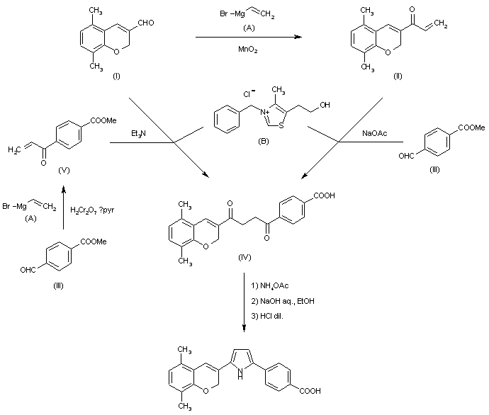
合成路线图解说明:

From the starting carbaldehyde (I) two different pathways can be followed: 1) A solution of carbaldehyde (I) in ether is treated with the vinyl Grignard reagent (A) in THF and oxidized with activated manganese dioxide to afford enone derivative (II). The derivative is then coupled with methyl 4-formylbenzoate (III) in refluxing ethanol in presence of 3-benzyl-5-(2-hydroxyethyl)-4-methylthiazolium chloride (B) to yield diketone (IV). 2) Methyl 4-formylbenzoate (III) is treated with vinylmagnesium bromide (A) in THF, and oxidized with pyridinium dichromate to give methyl 4-acryloylbenzoate (V), which is coupled with carbaldehyde (I) by means of 3-benzyl-5-(2-hydroxyethyl)-4-methylthiazolium chloride (B) and triethylamine in DMF to yield directly diketone (IV). The final step is the cyclization of diketone (IV) to afford the pyrrole-benzoic acid derivative by treatment of the diketone with ammonium acetate in refluxing methanol and hydrolysis with NaOH in refluxing ethanol followed by neutralization with dilute HCl.

参考文献No.576537
标题:Syntheses and evaluation of naphthalenyl- and chromenyl-pyrrolyl-benzoic acids as potent and selective retinoic acid receptor alpha agonists
作者:Hibi, S.; Tagami, K.; Kikuchi, K.; Yoshimura, H.; Tai, K.; Hida, T.; Tokuhara, N.; Yamauchi, T.; Nagai, M.
来源:Bioorg Med Chem Lett 2000,10(7),623
合成路线图解说明:

From the starting carbaldehyde (I) two different pathways can be followed: 1) A solution of carbaldehyde (I) in ether is treated with the vinyl Grignard reagent (A) in THF and oxidized with activated manganese dioxide to afford enone derivative (II). The derivative is then coupled with methyl 4-formylbenzoate (III) in refluxing ethanol in presence of 3-benzyl-5-(2-hydroxyethyl)-4-methylthiazolium chloride (B) to yield diketone (IV). 2) Methyl 4-formylbenzoate (III) is treated with vinylmagnesium bromide (A) in THF, and oxidized with pyridinium dichromate to give methyl 4-acryloylbenzoate (V), which is coupled with carbaldehyde (I) by means of 3-benzyl-5-(2-hydroxyethyl)-4-methylthiazolium chloride (B) and triethylamine in DMF to yield directly diketone (IV). The final step is the cyclization of diketone (IV) to afford the pyrrole-benzoic acid derivative by treatment of the diketone with ammonium acetate in refluxing methanol and hydrolysis with NaOH in refluxing ethanol followed by neutralization with dilute HCl.

Drug Information Express,Drug R&D,Chemical Database,Patent Search.
Copyright © 2006-2026 Drug Future. All rights reserved.Contact Us