【药物名称】
化学结构式(Chemical Structure):
参考文献No.576815
标题:Synthesis and analgesic effects of 5-[4-(arylpiperazin-1-yl)alkylamino]-4-benzyl-3-methyl-1,2-oxazin-6-ones
作者:Rubat, C.; Bebot, M.; Fialip, J.; Coudert, P.; Courteix, C.; Couquelet, J.
来源:Arzneim-Forsch Drug Res 2000,50(4),353
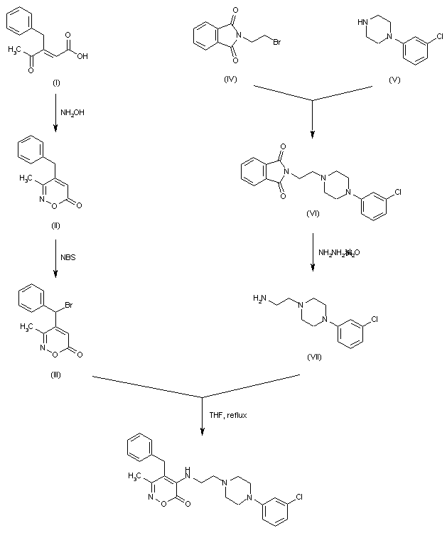
合成路线图解说明:

Oxazinone (II) was prepared by cyclization of the unsaturated keto acid (I) with hydroxylamine. Subsequent radical bromination of (II) with N-bromosuccinimide (NBS) provided the alpha-bromobenzyl derivative (III). Alkylation of 3-chlorophenyl piperazine (IV) with N-(2-bromoethyl)phthalimide (V) gave adduct (VI). Further hydrazinolysis of the phthaloyl group of (VI) yielded the primary amine (VII). Finally, condensation between bromide (III) and amine (VII) in refluxing THF furnished the title 5-amino oxazinone derivative.

Drug Information Express,Drug R&D,Chemical Database,Patent Search.
Copyright © 2006-2026 Drug Future. All rights reserved.Contact Us