【药物名称】Regadenoson, CVT-3146
化学结构式(Chemical Structure):
参考文献No.46531
标题:N-Pyrazole A2A receptor agonists
作者:Zablocki, J.A.; Palle, V.P.; Elzein, E.O. (CV Therapeutics, Inc.)
来源:EP 1189916; US 6403567; WO 0078779
合成路线图解说明:

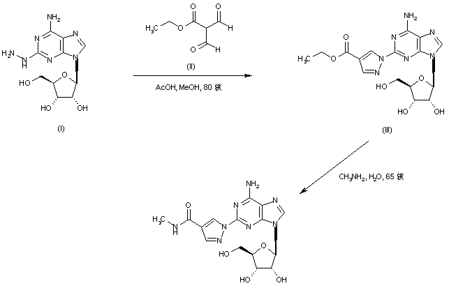
The condensation of 2-hydrazino adenosine (I) with (ethoxycarbonyl)malondialdehyde (II) generated the pyrazole ester (III). The target amide was then obtained by displacement of the ethyl ester group of (III) with an aqueous solution of methylamine at 65 C.

参考文献No.689048
标题:2-Substituted pi system derivatives of adenosine that are coronary vasodilators acting via the A2A adenosine receptor
作者:Zablocki, J.; Palle, V.P.; Blackburn, B.K.; Elzein, E.; Nudelman, G.; Gothe, S.; Gao, Z.; Li, Z.; Meyer, S.; Belardinelli, L.
来源:Nucleosides Nucleotides Nucleic Acids 2001,20(4-7),343
合成路线图解说明:

The condensation of 2-hydrazino adenosine (I) with (ethoxycarbonyl)malondialdehyde (II) generated the pyrazole ester (III). The target amide was then obtained by displacement of the ethyl ester group of (III) with an aqueous solution of methylamine at 65 C.

Drug Information Express,Drug R&D,Chemical Database,Patent Search.
Copyright © 2006-2026 Drug Future. All rights reserved.Contact Us