【药物名称】NTP 15-5
化学结构式(Chemical Structure):
参考文献No.581581
标题:Synthesis of N-quaternary ammonium [3H] and [99mTc]polyazamacrocycles, potential radiotracers for cartilage imaging
作者:Nicolas, C.; et al.
来源:J Label Compd Radiopharm 2000,43(6),585
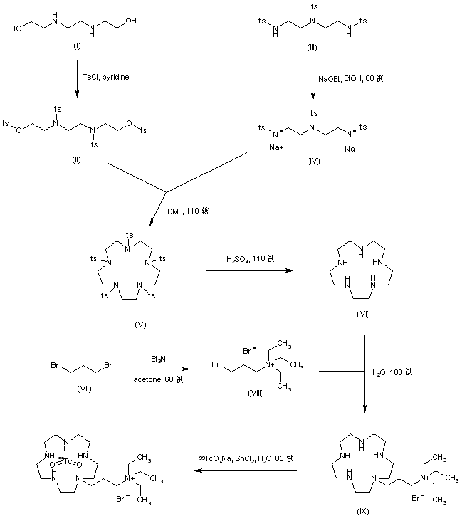
合成路线图解说明:

Treatment of N,N'-bis(2-hydroxyethyl)ethylenediamine (I) with p-toluenesulfonyl chloride in pyridine afforded the tretratosyl derivative (II). The disodium salt (IV) prepared from tritosyl diethylenetriamine (III) was then condensed with (II) in hot DMF to produce the macrocyclic compound (V). Cleavage of the N-tosyl groups of (V) to afford (VI) was effected by treatment with H2SO4 at 110 C. Quaternization of triethylamine with 1,3-dibromopropane (VII) gave rise to ammonium salt (VIII). Macrocycle (VI) was then alkylated with bromide (VIII) to furnish (IX). Then, complexation of (IX) with 99TcO2 was carried out by treatment with radiolabeled sodium pertechnetate in the presence of SnCl2.

Drug Information Express,Drug R&D,Chemical Database,Patent Search.
Copyright © 2006-2026 Drug Future. All rights reserved.Contact Us