【药物名称】
化学结构式(Chemical Structure):
参考文献No.43442
标题:Compsns. of alkylbenzenes in film-forming materials for visualization of the gastrointestinal tract
作者:Josef, K.A.; Douty, B.D.; Bacon, E.R.; Illig, C.; Estep, K.G. (Sterling Winthrop Inc.)
来源:EP 0609589; JP 1994234664; US 5334370
合成路线图解说明:

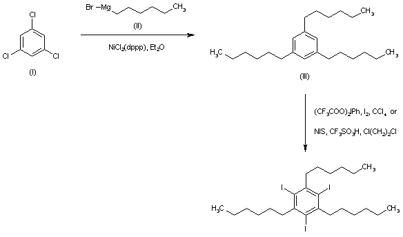
Coupling of 1,3,5-trichlorobenzene (I) with n-hexylmagnesium bromide (II) produced the corresponding trihexylbenzene (III) (1-3). The title triiodo derivative was then obtained by iodination of (III) with either bis(trifluoroacetoxy)iodobenzene and iodine in CCl4 (1-3) or N-iodosuccinimide in the presence of trifluoromethanesulfonic acid.

参考文献No.43443
标题:Compsns. of alkylbenzenes and cellulose derivs. for visualization of the gastrointestinal tract
作者:Josef, K.A.; Bacon, E.R.; Estep, K.G.; Baker, E.J.; Toner, J.L.; Illig, C.R.; Douty, B.D.; Lee, R.W. (Sterling Winthrop Inc.)
来源:US 5385721
合成路线图解说明:

Coupling of 1,3,5-trichlorobenzene (I) with n-hexylmagnesium bromide (II) produced the corresponding trihexylbenzene (III) (1-3). The title triiodo derivative was then obtained by iodination of (III) with either bis(trifluoroacetoxy)iodobenzene and iodine in CCl4 (1-3) or N-iodosuccinimide in the presence of trifluoromethanesulfonic acid.

参考文献No.578652
标题:1,3,5-Trialkyl-2,4,6-triiodobenzenes: Novel X-ray contrast agents for gastrointestinal imaging
作者:Estep, K.G.; Josef, K.A.; Bacon, E.R.; Illig, C.R.; Toner, J.L.; Mishra, D.; Blazak, W.F.; Miller, D.M.; Johnson, D.K.; Allen, J.M.; Spencer, A.; Wilson, S.A.
来源:J Med Chem 2000,43(10),1940
合成路线图解说明:

Coupling of 1,3,5-trichlorobenzene (I) with n-hexylmagnesium bromide (II) produced the corresponding trihexylbenzene (III) (1-3). The title triiodo derivative was then obtained by iodination of (III) with either bis(trifluoroacetoxy)iodobenzene and iodine in CCl4 (1-3) or N-iodosuccinimide in the presence of trifluoromethanesulfonic acid.

Drug Information Express,Drug R&D,Chemical Database,Patent Search.
Copyright © 2006-2026 Drug Future. All rights reserved.Contact Us