【药物名称】Cepharanthine
化学结构式(Chemical Structure):
参考文献No.701473
标题:
作者:Kondo, H.; et al.
来源:US 2206407
合成路线图解说明:

The condensation of 3,4-methylenedioxy-5-[2-methoxy-4-(N-carbobenzoxyaminoethyl)phenoxy]phenylethylamine (I) with 4-[2-methoxy-5-(methoxycarbonylmethyl)phenoxyphenylacetic acid (II) by means of dicyclohexylcarbodiimide in methylene chloride gives the amide (III), which is hydrolyzed with aqueous Na2CO3 to the corresponding free acid (IV). The cyclization of (IV) by the p-nitrophenyl ester method yields the cyclobisamide (V), which by a Bischler-Napieralski reaction with POCl3 in chloroform is converted into the bis(3,4-dihydroisoquinoline) (VI). The hydrogenation of (VI) with H2 over Pt affords the bis(tetrahydroisoquinoline) derivative (VII), which without isolation is finally methylated with formalin and NaBH4.

合成路线图解说明:

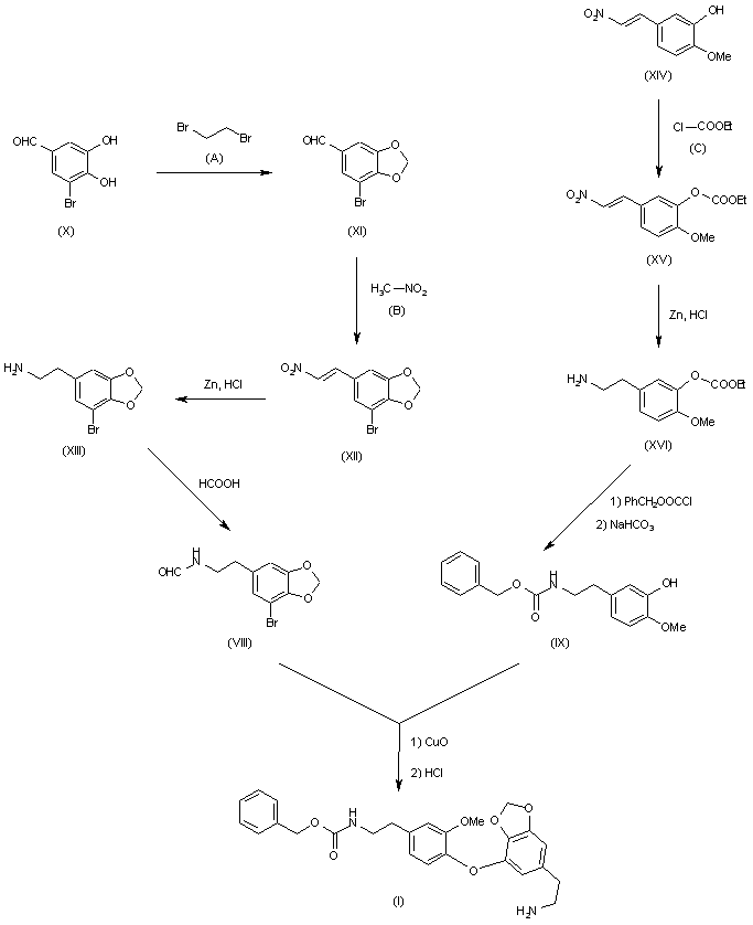
The starting phenylethylamine (I) is prepared by condensation of N-formyl-5-bromo-3,4-methylenedioxyphenylethylamine (VIII) with N-carbobenzoxy-3-methoxy-4-hydroxyphenylethylamine (IX) through an Ullman condensation catalysed by CuO, followed by elimination of the formyl group with HCl in methanol. Compound (VIII) is prepared as follows: 3,4-dihydroxy-5-bromobenzaldehyde (X) is methylenated with methylene bromide (A) and CuO in DMF giving 3,4-methylenedioxy-5-bromobenzaldehyde (XI), which is condensed with nitromethane (B) in acetic acid containing ammonium acetate affording 3,4-methylenedioxy-5-bromo-beta-nitrostyrene (XII). The reduction of (XII) under Clemensen conditions yields 3,4-methylenedioxy-5-bromophenylethylamine (XIII), which is finally formylated with formic acid in decalin. Compound (IX) is prepared as follows: 3-methoxy-4-hydroxy-beta-nitrostyrene (XIV) is treated with ethyl chloroformate (C) in pyridine yielding the corresponding ethoxycarbonyl derivative (XV), which is reduced under Clemensen conditions to 3-methoxy-4-ethoxycarbonyloxyphenylethylamine (XVI). Finally, this compound is treated first with benzyloxycarbonyl chloride and then with aqueous NaHCO3.

合成路线图解说明:

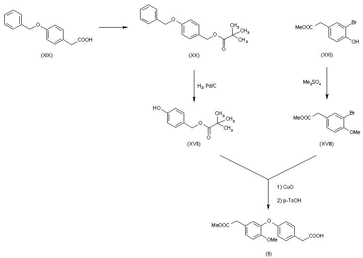
The starting phenylacetic acid (II) is prepared by an Ullman condensation between tert-butyl-4-hydroxyphenylacetate (XVII) and methyl 3-bromo-4-methoxyphenylacetate (XVIII) catalysed by CuO, followed by treatment with p-toluenesulfonic acid in benzene. Compound (XVII) is prepared by esterification of 4-benzyloxyphenylacetic acid (XIX) to the corresponding tart butyl ester (XX), followed by hydrogenolysis with H2 over Pd/C. Compound (XVIII) is prepared by methylation of methyl 3-bromo-4-hydroxyphenylacetate (XXI) with dimethyl sulfate and K2CO3 in DMF.

参考文献No.800527
标题:Synthesis of di-cepharanthine
作者:Tomita, M.; et al.
来源:Tetrahedron Lett 1967,1201-06
合成路线图解说明:

The condensation of 3,4-methylenedioxy-5-[2-methoxy-4-(N-carbobenzoxyaminoethyl)phenoxy]phenylethylamine (I) with 4-[2-methoxy-5-(methoxycarbonylmethyl)phenoxyphenylacetic acid (II) by means of dicyclohexylcarbodiimide in methylene chloride gives the amide (III), which is hydrolyzed with aqueous Na2CO3 to the corresponding free acid (IV). The cyclization of (IV) by the p-nitrophenyl ester method yields the cyclobisamide (V), which by a Bischler-Napieralski reaction with POCl3 in chloroform is converted into the bis(3,4-dihydroisoquinoline) (VI). The hydrogenation of (VI) with H2 over Pt affords the bis(tetrahydroisoquinoline) derivative (VII), which without isolation is finally methylated with formalin and NaBH4.

合成路线图解说明:

The starting phenylethylamine (I) is prepared by condensation of N-formyl-5-bromo-3,4-methylenedioxyphenylethylamine (VIII) with N-carbobenzoxy-3-methoxy-4-hydroxyphenylethylamine (IX) through an Ullman condensation catalysed by CuO, followed by elimination of the formyl group with HCl in methanol. Compound (VIII) is prepared as follows: 3,4-dihydroxy-5-bromobenzaldehyde (X) is methylenated with methylene bromide (A) and CuO in DMF giving 3,4-methylenedioxy-5-bromobenzaldehyde (XI), which is condensed with nitromethane (B) in acetic acid containing ammonium acetate affording 3,4-methylenedioxy-5-bromo-beta-nitrostyrene (XII). The reduction of (XII) under Clemensen conditions yields 3,4-methylenedioxy-5-bromophenylethylamine (XIII), which is finally formylated with formic acid in decalin. Compound (IX) is prepared as follows: 3-methoxy-4-hydroxy-beta-nitrostyrene (XIV) is treated with ethyl chloroformate (C) in pyridine yielding the corresponding ethoxycarbonyl derivative (XV), which is reduced under Clemensen conditions to 3-methoxy-4-ethoxycarbonyloxyphenylethylamine (XVI). Finally, this compound is treated first with benzyloxycarbonyl chloride and then with aqueous NaHCO3.

合成路线图解说明:

The starting phenylacetic acid (II) is prepared by an Ullman condensation between tert-butyl-4-hydroxyphenylacetate (XVII) and methyl 3-bromo-4-methoxyphenylacetate (XVIII) catalysed by CuO, followed by treatment with p-toluenesulfonic acid in benzene. Compound (XVII) is prepared by esterification of 4-benzyloxyphenylacetic acid (XIX) to the corresponding tart butyl ester (XX), followed by hydrogenolysis with H2 over Pd/C. Compound (XVIII) is prepared by methylation of methyl 3-bromo-4-hydroxyphenylacetate (XXI) with dimethyl sulfate and K2CO3 in DMF.

参考文献No.800528
标题:Cepharanthine
作者:Serradell, M.N.; Blancafort, P.; Mealy, N.; Casta馿r, J.
来源:Drugs Fut 1979,4(7),481
合成路线图解说明:

The condensation of 3,4-methylenedioxy-5-[2-methoxy-4-(N-carbobenzoxyaminoethyl)phenoxy]phenylethylamine (I) with 4-[2-methoxy-5-(methoxycarbonylmethyl)phenoxyphenylacetic acid (II) by means of dicyclohexylcarbodiimide in methylene chloride gives the amide (III), which is hydrolyzed with aqueous Na2CO3 to the corresponding free acid (IV). The cyclization of (IV) by the p-nitrophenyl ester method yields the cyclobisamide (V), which by a Bischler-Napieralski reaction with POCl3 in chloroform is converted into the bis(3,4-dihydroisoquinoline) (VI). The hydrogenation of (VI) with H2 over Pt affords the bis(tetrahydroisoquinoline) derivative (VII), which without isolation is finally methylated with formalin and NaBH4.

合成路线图解说明:

The starting phenylethylamine (I) is prepared by condensation of N-formyl-5-bromo-3,4-methylenedioxyphenylethylamine (VIII) with N-carbobenzoxy-3-methoxy-4-hydroxyphenylethylamine (IX) through an Ullman condensation catalysed by CuO, followed by elimination of the formyl group with HCl in methanol. Compound (VIII) is prepared as follows: 3,4-dihydroxy-5-bromobenzaldehyde (X) is methylenated with methylene bromide (A) and CuO in DMF giving 3,4-methylenedioxy-5-bromobenzaldehyde (XI), which is condensed with nitromethane (B) in acetic acid containing ammonium acetate affording 3,4-methylenedioxy-5-bromo-beta-nitrostyrene (XII). The reduction of (XII) under Clemensen conditions yields 3,4-methylenedioxy-5-bromophenylethylamine (XIII), which is finally formylated with formic acid in decalin. Compound (IX) is prepared as follows: 3-methoxy-4-hydroxy-beta-nitrostyrene (XIV) is treated with ethyl chloroformate (C) in pyridine yielding the corresponding ethoxycarbonyl derivative (XV), which is reduced under Clemensen conditions to 3-methoxy-4-ethoxycarbonyloxyphenylethylamine (XVI). Finally, this compound is treated first with benzyloxycarbonyl chloride and then with aqueous NaHCO3.

合成路线图解说明:

The starting phenylacetic acid (II) is prepared by an Ullman condensation between tert-butyl-4-hydroxyphenylacetate (XVII) and methyl 3-bromo-4-methoxyphenylacetate (XVIII) catalysed by CuO, followed by treatment with p-toluenesulfonic acid in benzene. Compound (XVII) is prepared by esterification of 4-benzyloxyphenylacetic acid (XIX) to the corresponding tart butyl ester (XX), followed by hydrogenolysis with H2 over Pd/C. Compound (XVIII) is prepared by methylation of methyl 3-bromo-4-hydroxyphenylacetate (XXI) with dimethyl sulfate and K2CO3 in DMF.

Drug Information Express,Drug R&D,Chemical Database,Patent Search.
Copyright © 2006-2026 Drug Future. All rights reserved.Contact Us