【药物名称】MBX-300, NMSO3
化学结构式(Chemical Structure):
参考文献No.44385
标题:Novel cpds. having antiviral activity
作者:Numata, M.; Nunomura, S.; Terada, M.; Suzuki, K.; Sugimoto, M.; Fujita, S. (Nissin Food Products Co., Ltd.)
来源:CA 2255070; EP 0957107; WO 9743296
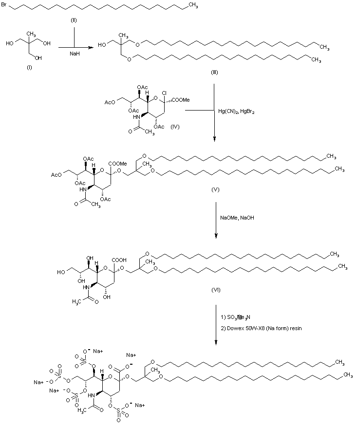
合成路线图解说明:

Treatment of 1,1,1-tris(hydroxymethyl)ethane (I) in DMF with NaH and docosyl bromide (II) in benzene yields 2,2,-bis(docosyloxymethyl) propanol (III), which is then condensed with pentaacetyl-2-chloro-2-deoxyneuraminic acid methyl ester (IV) (1) by means of Hg(CN)2 and HgBr2 in CHCl3 to provide the pentaacetylated compound (V). Hydrolysis of (V) by treatment with NaOMe and NaOH in THF:MeOH affords derivative (VI), which is finally converted into the target compound by reaction with sulfur trioxide-trimethylamine complex (SO3.(CH3)3N) in DMF followed by treatment with Dowex 50W-X8 (Na form) resin.

参考文献No.803902
标题:
作者:
来源:Chem Ber I 1966,99611
合成路线图解说明:

Treatment of 1,1,1-tris(hydroxymethyl)ethane (I) in DMF with NaH and docosyl bromide (II) in benzene yields 2,2,-bis(docosyloxymethyl) propanol (III), which is then condensed with pentaacetyl-2-chloro-2-deoxyneuraminic acid methyl ester (IV) (1) by means of Hg(CN)2 and HgBr2 in CHCl3 to provide the pentaacetylated compound (V). Hydrolysis of (V) by treatment with NaOMe and NaOH in THF:MeOH affords derivative (VI), which is finally converted into the target compound by reaction with sulfur trioxide-trimethylamine complex (SO3.(CH3)3N) in DMF followed by treatment with Dowex 50W-X8 (Na form) resin.

Drug Information Express,Drug R&D,Chemical Database,Patent Search.
Copyright © 2006-2026 Drug Future. All rights reserved.Contact Us