【药物名称】Torcitabine, L-dC, NV-02C
化学结构式(Chemical Structure):
参考文献No.43383
标题:beta-L-2'-Deoxy-nucleosides for the treatment of hepatitis B
作者:Bryant, M.L.; Gosselin, G.; Imbach, J.-L. (CNRS (Centre National de la Recherche Scientifique); Novirio Pharmaceuticals Ltd.)
来源:WO 0009531
合成路线图解说明:

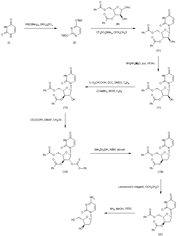
Uracil (I) was silylated with hexamethyldisilazan, and the resulting bis-silylated uracil (II) was condensed with protected xylofuranose (III) in the presence of trimethylsilyl triflate to afford nucleoside (IV). Selective hydrolysis of the acetate ester of (IV) employing hydrazine and AcOH in pyridine yielded (V). Isomerization of xylofuranosyl uracil (V) to the arabinofuranosyl analogue (VI) was achieved by reaction with dicyclohexylcarbodiimide and dichloroacetic acid followed by treatment with NaBH4. Subsequent deoxygenation of the 2'-hydroxyl group of (VI) was effected via condensation with phenyl chlorothionoformate, and then reduction of the resulting thiocarbonate (VII) with tris(trimethylsilyl)silane and azobis(isobutyronitrile) (AIBN). The resultant 2'-deoxyuridine derivative (VIII) was treated with Lawesson's reagent to give the thiocarbonyl analogue (IX). Finally, sulfur displacement with concomitant benzoate ester hydrolysis employing methanolic ammonia at 100 C in a pressure bomb furnished the title compound.

合成路线图解说明:

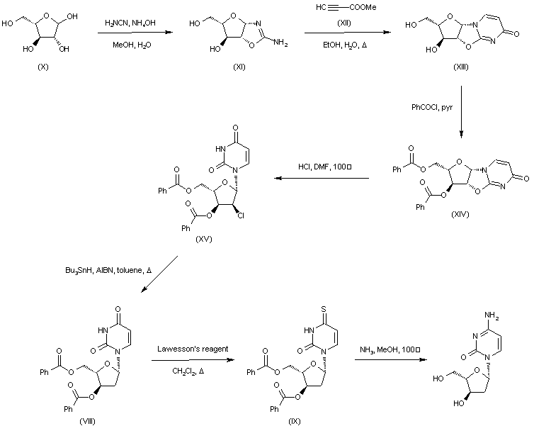
In an alternative procedure, reaction of L-arabinose (X) with cyanamide in the presence of ammonium hydroxide produced the cyclic isourea (XI). Subsequent cycloaddition of methyl propiolate (XII) to (XI) generated the fused pyrimidone system (XIII). After protection of the free hydroxyl groups of (XIII) as the dibenzoate ester (XIV), treatment with HCl in DMF furnished uridine derivative (XV). Dechlorination of (XV) employing Bu3SnH and AIBN afforded intermediate (VIII), which was treated with Lawesson's reagent to give the thiocarbonyl analogue (IX). Finally, sulfur displacement with concomitant benzoate ester hydrolysis employing methanolic ammonia at 100 C in a pressure bomb furnished the title compound.

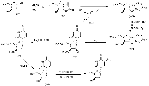
合成路线图解说明:

Cyclization of L-arabinose (VI) with cyanamide and NH3 in methanol gives the bicyclic oxazoline (XV), which is submitted to a cycloaddition with methyl propynoate (XVI) in refluxing ethanol/water to yield the tricyclic pyrimidinone system (XVII). Benzoylation of the two OH groups of compound (XVII) with either benzoyl cyanide and triethylamine in DMF or benzoyl chloride in anhydrous pyridine affords the dibenzoate (XVIII), which is treated with HCl in hot DMF to provide the chlorouridine derivative (XIX). Dechlorination of compound (XIX) by means of Bu3SnH and AIBN in refluxing benzene gives 3,5-di-O-benzoyl-2'deoxy-b-L-uridine (XX), which is debenzoylated by means of NaOMe in methanol to yield 2'-deoxy-b-L- uridine (XXI). Finally, this compound is methylated by reaction with formaldehyde and KOH in hot water followed by hydrogenation with H2 over Pd/C in EtOH/HCl. Optionally, telbivudine can be purified by benzoylation with benzoyl cyanide and TEA, crystallization in EtOH/ether and final hydrolysis with refluxing MeOH/ NaOMe.

合成路线图解说明:

Reaction of L-xylose (XXII) with acetone and H2SO4 gives the acetonide (XXIII), which by acylation with benzoyl chloride in pyridine/chloroform yields the dibenzoate (XXIV). The hydrolysis of acetonide (XXIV) with acetic acid to the dihydroxy sugar (XXV) followed by acylation with acetic anhydride provides the tetracylated L-xylose (XXVI). Condensation of compound (XXVI) with 2,4-bis(trimethylsilyloxy)pyrimidine (XXVII) - obtained by silylation of uracil (XXVIII) with hexamethyldisilazane - by means of trimethylsilyl triflate in 1,2-dichloroethane affords nucleoside (XXIX). Selective hydrolysis of the acetate ester of compound (XXIX) using hydrazine and AcOH in pyridine yields the dibenzoylated xylofuranosyl-uracil (XXX). Isomerization of compound (XXX) to the arabinofuranosyl analogue (XXXI) is achieved by reaction with dicyclohexylcarbodiimide and dichloroacetic acid in DMSO/benzene, followed by treatment with NaBH4 in EtOH/benzene. Subsequent deoxygenation of the 2'-hy-droxyl group of compound (XXXI) to afford 2'-deoxynucleoside (XX) is effected via condensation with phenyl chlorothionoformate, and then reduction of the resulting thiocarbonate (XXXII) with tris(trimethylsilyl)silane and AIBN. Iodination of the uracil ring of (XX) with I2 and cerium ammonium nitrate (CAN) in acetonitrile produces the 5-iodo derivative (XXXIII), which is protected at the 3-nitrogen atom by condensation with p-toluoyl chloride to yield the protected nucleoside (XXXIV). Introduction of the 5-methyl group to give the thymidine derivative (XXXV) is then effected by reaction of the 5-iodouracil (XXXIV) with tetramethyltin in the presence of palladium catalyst. Finally, all protecting groups of compound (XXXV) are removed by treatment with methanolic ammonia.

Drug Information Express,Drug R&D,Chemical Database,Patent Search.
Copyright © 2006-2026 Drug Future. All rights reserved.Contact Us