【药物名称】DY-9804
化学结构式(Chemical Structure):
参考文献No.22342
标题:Diazabicycloalkene derivs.
作者:Mimura, T.; Kubo, H. (Daiichi Pharmaceutical Co., Ltd.)
来源:EP 0571822; JP 1994025233; US 5418232
合成路线图解说明:

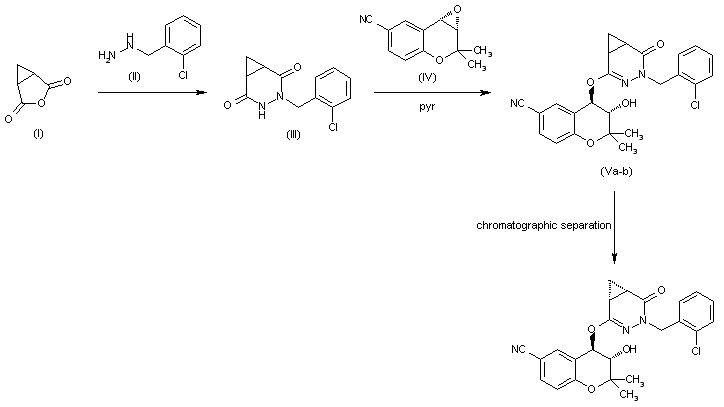
Condensation of 1,2-cyclo-propanedicarboxylic anhydride (I) with chlorobenzylhydrazine derivative (II) in EtOH (1) or acetonitrile affords derivative (III), which then reacts with epoxy-benzopyrancarbonitrile derivative (IV) in the presence of pyridine in EtOH to yield a mixture of two diastereomers (Va-b), from which the desired product is chromatographically separated.

参考文献No.575034
标题:Novel potassium channel opener prodrugs with a slow onset and prolonged duration of action
作者:Horino, H.; Mimura, T.; Kobayashi, S.; Ohta, M.; Kubo, H.; Ito, K.; Tsumura, M.; Kitagawa, M.
来源:Chem Pharm Bull 2000,48(4),490
合成路线图解说明:

Condensation of 1,2-cyclo-propanedicarboxylic anhydride (I) with chlorobenzylhydrazine derivative (II) in EtOH (1) or acetonitrile affords derivative (III), which then reacts with epoxy-benzopyrancarbonitrile derivative (IV) in the presence of pyridine in EtOH to yield a mixture of two diastereomers (Va-b), from which the desired product is chromatographically separated.

Drug Information Express,Drug R&D,Chemical Database,Patent Search.
Copyright © 2006-2026 Drug Future. All rights reserved.Contact Us