【药物名称】
化学结构式(Chemical Structure):
参考文献No.575157
标题:Stereoselective synthesis of carbocyclic L-4'-fluoro-2',3'-dideoxyadenosine
作者:Gumina, G.; Chong, Y.; Choi,Y.; Chu, C.K.
来源:Org Lett 2000,2(9),1229
合成路线图解说明:

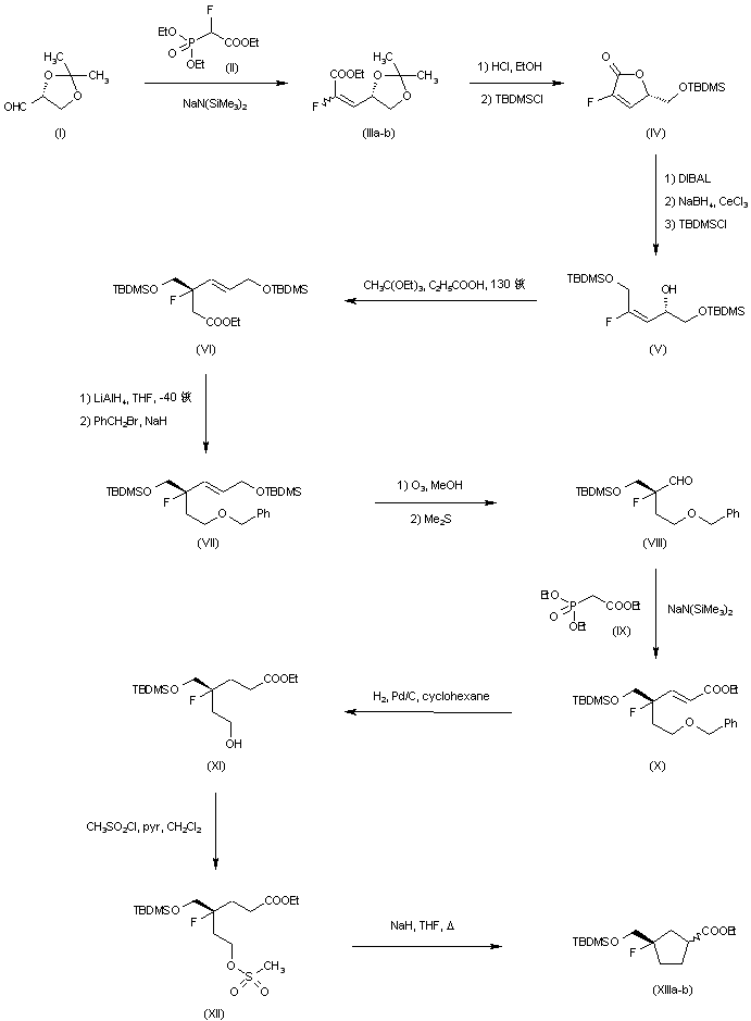
Horner-Emmons condensation of 2,3-isopropylidene-D-glyceraldehyde (I) with phosphonate (II) produced the unsaturated ester (IIIa-b). Ketal deprotection and lactone ring closure of (II) under acidic conditions, followed by O-silylation afforded (IV). The lactone function of (IV) was reduced with DIBAL and then with NaBH4-CeCl3 to produce the corresponding diol. Further silylation of the primary hydroxyl group furnished (V). Condensation of (V) with triethyl orthoacetate followed by Claisen rearrangement gave rise to the gamma,delta-unsaturated ester (VI). This was reduced to alcohol with LiAlH4 and then alkylated with benzyl bromide to yield benzyl ether (VII). Ozonization of (VII) in methanol at -78 C, followed by decomposition of the ozonide with dimethyl sulfide gave aldehyde (VIII). Horner-Emmons condensation of (VIII) with the sodium salt of triethyl phosphonoacetate (IX) produced the alpha,beta-unsaturated ester (X). Double bond hydrogenation in (X) with simultaneous benzyl group cleavage afforded hydroxy ester (XI), which was then converted to mesylate (XII). This was cyclized to the cyclopentane (XIIIa-b) by means of NaH in refluxing THF.

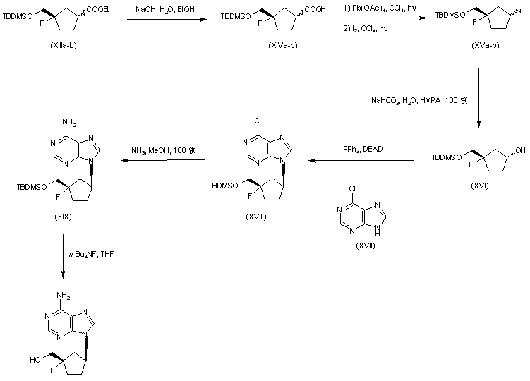
合成路线图解说明:

Hydrolysis of (XIIIa-b) to the carboxylic acid (XIVa-b), and further iodo decarboxylation yielded a mixture of epimeric iodides (XVa-b). From hydrolysis of the iodide group of (XVa-b) with NaHCO3 only the alpha-alcohol (XVI) was isolated. This was condensed with 6-chloropurine (XVII) under Mitsunobu conditions to give adduct (XVIII). The 6-chloro derivative (XVIII) was converted into the protected adenosine analogue (XIX) by treatment with methanolic ammonia in a steel bomb at 100 C. Finally, desilylation of (XIX) employing tetrabutylammonium fluoride furnished the title compound.

参考文献No.582723
标题:Enantiomeric synthesis of 3'-fluoro-apionucleosides using claisen rearrangement
作者:Hong, J.H.; et al.
来源:Tetrahedron Lett 1998,39(21),3443
合成路线图解说明:

Horner-Emmons condensation of 2,3-isopropylidene-D-glyceraldehyde (I) with phosphonate (II) produced the unsaturated ester (IIIa-b). Ketal deprotection and lactone ring closure of (II) under acidic conditions, followed by O-silylation afforded (IV). The lactone function of (IV) was reduced with DIBAL and then with NaBH4-CeCl3 to produce the corresponding diol. Further silylation of the primary hydroxyl group furnished (V). Condensation of (V) with triethyl orthoacetate followed by Claisen rearrangement gave rise to the gamma,delta-unsaturated ester (VI). This was reduced to alcohol with LiAlH4 and then alkylated with benzyl bromide to yield benzyl ether (VII). Ozonization of (VII) in methanol at -78 C, followed by decomposition of the ozonide with dimethyl sulfide gave aldehyde (VIII). Horner-Emmons condensation of (VIII) with the sodium salt of triethyl phosphonoacetate (IX) produced the alpha,beta-unsaturated ester (X). Double bond hydrogenation in (X) with simultaneous benzyl group cleavage afforded hydroxy ester (XI), which was then converted to mesylate (XII). This was cyclized to the cyclopentane (XIIIa-b) by means of NaH in refluxing THF.

Drug Information Express,Drug R&D,Chemical Database,Patent Search.
Copyright © 2006-2026 Drug Future. All rights reserved.Contact Us