【药物名称】UK-240455, UK-212189(racemate)
化学结构式(Chemical Structure):
参考文献No.43407
标题:Quinoxaline derivs. useful in therapy
作者:Stobie, A.; Mowbray, C.E.; Fray, M.J. (Pfizer Inc.)
来源:US 5852016; WO 9609295
合成路线图解说明:

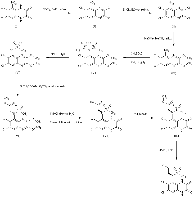
Chlorination of 6,7-dichloro-1,4-dihydro-5-nitroquinoxalin-2,3-dione (I) by means of SOCl2 and DMF produced the tetrachloroquinoxaline (II). The nitro group of (II) was then reduced to amine (III) using SnCl2 in EtOAc. Treatment of (III) with NaOMe yielded the dimethoxy quinoxaline (IV). Sulfonylation of (IV) with mesyl chloride, followed by partial hydrolysis of the resultant sulfonimide (V), furnished the methanesulfonamide (VI). This was alkylated with methyl bromoacetate in the presence of K2CO3 to provide (VII). Acid hydrolysis of both the methyl ester and the methoxy groups gave rise to the corresponding (carboxymethylamino)-dioxoquinoxaline as a mixture of atropisomers. Resolution of the desired (R)-atropisomer (VIII) was then achieved by fractional crystallization of the corresponding salt with quinine. After reesterification of (VIII) with methanolic HCl, the resultant methyl ester (IX) was reduced to alcohol using LiAlH4 in THF.

Drug Information Express,Drug R&D,Chemical Database,Patent Search.
Copyright © 2006-2026 Drug Future. All rights reserved.Contact Us