【药物名称】CB-102930
化学结构式(Chemical Structure):
参考文献No.42873
标题:Condensed imidazolidinones as tRNA synthetase inhibitors
作者:Wang, Z.; Hill, J.; Finn, J.; Yu, X.Y.; Keith, D.; Gallant, P.; Wendler, P. (Cubist Pharmaceuticals, Inc.)
来源:WO 0018772
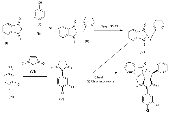
合成路线图解说明:

The condensation of indane-1,3-dione (I) with benzaldehyde (II) by means of piperidine in refluxing benzene gives 2-benzylideneindane-1,3-dione (II), which is treated with H2O2 and NaOH in methanol to yield the epoxide (IV). The condensation of (IV) with N-(3,4-dichlorophenyl)maleimide (V) (obtained by condensation of 3,4-dichloroaniline (VI) with maleic anhydride (VII) in diethyl ether) in refluxing benzene affords the title product as a mixture of two diastereomeric racemates that are separated by column chromatography.

合成路线图解说明:

The condensation of indane-1,3-dione (I) with benzaldehyde (II) by means of piperidine in refluxing benzene gives 2-benzylideneindane-1,3-dione (II), which is treated with H2O2 and NaOH in methanol to yield the epoxide (IV). The condensation of (IV) with N-(3,4-dichlorophenyl)maleimide (V) (obtained by condensation of 3,4-dichloroaniline (VI) with maleic anhydride (VII) in diethyl ether) in refluxing benzene affords the title product as a mixture of two diastereomeric racemates that are separated by column chromatography.

合成路线图解说明:

The condensation of indane-1,3-dione (I) with benzaldehyde (II) by means of piperidine in refluxing benzene gives 2-benzylideneindane-1,3-dione (II), which is treated with H2O2 and NaOH in methanol to yield the epoxide (IV). The condensation of (IV) with N-(3,4-dichlorophenyl)maleimide (V) (obtained by condensation of 3,4-dichloroaniline (VI) with maleic anhydride (VII) in diethyl ether) in refluxing benzene affords a mixture of two diastereomeric racemates from which the desired isomer (VIII) is separated by column chromatography (1-3). Finally, (VIII) is reduced with NaBH4 in methanol to provide a diastereomeric mixture from which the title product is separated by chromatography.

合成路线图解说明:

The condensation of indane-1,3-dione (I) with benzaldehyde (II) by means of piperidine in refluxing benzene gives 2-benzylideneindane-1,3-dione (III), which is treated with H2O2 and NaOH in methanol to yield the epoxide (IV). The condensation of (IV) with N-(3,4-dichlorophenyl)maleimide (V) (obtained by condensation of 3,4-dichloroaniline (VI) with maleic anhydride (VII) in diethyl ether) in refluxing benzene affords a mixture of two diastereomeric racemates from which the desired isomer (VIII) is separated by column chromatography (1-3). Finally, (VIII) is reduced with NaBH4 in methanol to provide a diastereomeric mixture from which the title product is separated by chromatography.

参考文献No.646146
标题:Synthesis and activity of spirocyclic tetrahydrofurans as inhibitors of phenylalanine tRNA synthetase
作者:Hill, J.M.; Oliver, N.; Yu, X.; Wang, Z.; Finn, J.; Silverman, J.; Gallant, P.; Wendler, P.; Keith, D.
来源:41st Intersci Conf Antimicrob Agents Chemother (Dec 16 2001, Chicago) 2001,Abst F-1707
合成路线图解说明:

The condensation of indane-1,3-dione (I) with benzaldehyde (II) by means of piperidine in refluxing benzene gives 2-benzylideneindane-1,3-dione (II), which is treated with H2O2 and NaOH in methanol to yield the epoxide (IV). The condensation of (IV) with N-(3,4-dichlorophenyl)maleimide (V) (obtained by condensation of 3,4-dichloroaniline (VI) with maleic anhydride (VII) in diethyl ether) in refluxing benzene affords the title product as a mixture of two diastereomeric racemates that are separated by column chromatography.

合成路线图解说明:

The condensation of indane-1,3-dione (I) with benzaldehyde (II) by means of piperidine in refluxing benzene gives 2-benzylideneindane-1,3-dione (II), which is treated with H2O2 and NaOH in methanol to yield the epoxide (IV). The condensation of (IV) with N-(3,4-dichlorophenyl)maleimide (V) (obtained by condensation of 3,4-dichloroaniline (VI) with maleic anhydride (VII) in diethyl ether) in refluxing benzene affords the title product as a mixture of two diastereomeric racemates that are separated by column chromatography.

合成路线图解说明:

The condensation of indane-1,3-dione (I) with benzaldehyde (II) by means of piperidine in refluxing benzene gives 2-benzylideneindane-1,3-dione (II), which is treated with H2O2 and NaOH in methanol to yield the epoxide (IV). The condensation of (IV) with N-(3,4-dichlorophenyl)maleimide (V) (obtained by condensation of 3,4-dichloroaniline (VI) with maleic anhydride (VII) in diethyl ether) in refluxing benzene affords a mixture of two diastereomeric racemates from which the desired isomer (VIII) is separated by column chromatography (1-3). Finally, (VIII) is reduced with NaBH4 in methanol to provide a diastereomeric mixture from which the title product is separated by chromatography.

合成路线图解说明:

The condensation of indane-1,3-dione (I) with benzaldehyde (II) by means of piperidine in refluxing benzene gives 2-benzylideneindane-1,3-dione (III), which is treated with H2O2 and NaOH in methanol to yield the epoxide (IV). The condensation of (IV) with N-(3,4-dichlorophenyl)maleimide (V) (obtained by condensation of 3,4-dichloroaniline (VI) with maleic anhydride (VII) in diethyl ether) in refluxing benzene affords a mixture of two diastereomeric racemates from which the desired isomer (VIII) is separated by column chromatography (1-3). Finally, (VIII) is reduced with NaBH4 in methanol to provide a diastereomeric mixture from which the title product is separated by chromatography.

Drug Information Express,Drug R&D,Chemical Database,Patent Search.
Copyright © 2006-2026 Drug Future. All rights reserved.Contact Us