【药物名称】
化学结构式(Chemical Structure):
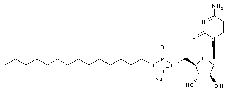
参考文献No.575029
标题:Enzymatic reactivity and anti-tumor activity of 1-(beta-D-arabinofuranosyl)-2-thiocytosine derivatives
作者:Kawaguchi, T.; Ichikawa, T.; Hasegawa, T.; Saneyoshi, M.; Wakayama, T.; Kato, H.; Yukita, A.; Nagata, T.
来源:Chem Pharm Bull 2000,48(4),454
合成路线图解说明:

The condensation of 1-(beta-D-arabinofuranosyl)-2-thiocytosine (I) with phosphoryl chloride gave intermediate (II). Acid chloride (II) was then condensed with myristyl alcohol (III) to furnish the desired phosphate ester, which was finally converted to the title sodium salt by treatment with aqueous NaOH.

Drug Information Express,Drug R&D,Chemical Database,Patent Search.
Copyright © 2006-2026 Drug Future. All rights reserved.Contact Us