【药物名称】
化学结构式(Chemical Structure):
参考文献No.575035
标题:Podophyllotoxin aza-analogue, a novel DNA topoisomerase II inhibitor
作者:Iida, A.; Kano, M.; Kubota, Y.; Koga, K.; Tomioka, K.
来源:Chem Pharm Bull 2000,48(4),486
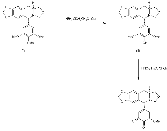
合成路线图解说明:

The known podophyllotoxin aza-analogue (I) was hydrolyzed with HBr to produce the monophenolic derivative (II). Oxidation of (II) by means of nitric acid then gave the title ortho-quinone.

Drug Information Express,Drug R&D,Chemical Database,Patent Search.
Copyright © 2006-2026 Drug Future. All rights reserved.Contact Us