【药物名称】
化学结构式(Chemical Structure):
参考文献No.574798
标题:Synthesis, spectroscopy, and cytotoxicity of glycosylated acetogenin derivatives as promising molecules for cancer therapy
作者:Queiroz, E.F.; Roblot, F.; Duret, P.; Figad鑢e, B.; Gouyette, A.; Lapr関ote, O.; Serani, L.; Hocquemiller, R.
来源:J Med Chem 2000,43(8),1604
合成路线图解说明:

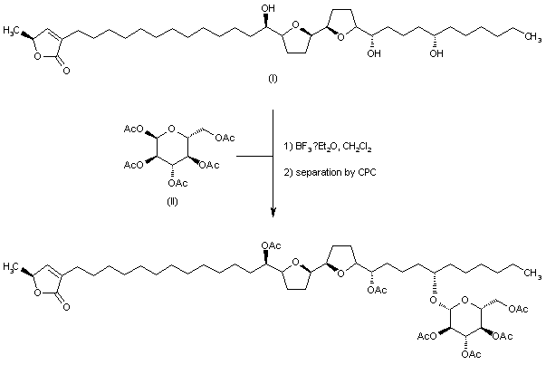
Squamocin (I) was isolated from the seeds of Annona spinescens, the bark of Annona salzmanii, and the seeds of Annona atemoya, and was dried by azeotropic distillation with toluene. Glycosylation with pentaacetyl-alpha-D-glucopyranose (II) in the presence of boron trifluoride etherate produced a mixture of the target 15,24-diacetyl-28-(tetraacetyl-beta-D-glucosyl)squamocin and three other acetylated glucosides, which were separated by means of centrifugal partition chromatography.

Drug Information Express,Drug R&D,Chemical Database,Patent Search.
Copyright © 2006-2026 Drug Future. All rights reserved.Contact Us