【药物名称】
化学结构式(Chemical Structure):
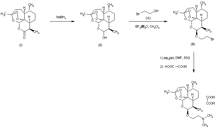
参考文献No.574794
标题:Synthesis and antimalarial activity of artemisinin derivatives containing an amino group
作者:Li, Y.; Zhu, Y.M.; Jiang, H.J.; Pan, J.P.; Wu, G.S.; Wu, J.M.; Shi, Y.L.; Yang, J.D.; Wu, B.A.
来源:J Med Chem 2000,43(9),1635
合成路线图解说明:

Dihydroartemisinin (II) was prepared by NaBH4 reduction of artemisinin (I). Condensation of (II) with 2-bromoethanol (A) in the presence of boron trifluoride etherate yielded the 10beta-bromoethyl acetal (III). Finally, reaction of (III) with dimethylamine in DMF provided the desired amine, which was finally converted to the oxalate salt.

Drug Information Express,Drug R&D,Chemical Database,Patent Search.
Copyright © 2006-2026 Drug Future. All rights reserved.Contact Us