【药物名称】BPDZ-83
化学结构式(Chemical Structure):
参考文献No.574788
标题:3-Alkylamino-4H-pyrido[2,3-e]-1,2,4-thiadiazine 1,1-dioxides structurally related to diazoxide and pinacidil as potassium channel openers acting on vascular smooth muscle cells: Design, synthesis, and pharmacological evaluation
作者:Pirotte, B.; Quedraogo, R.; de Tullio, P.; Khelili, S.; Somers, F.; Boverie, S.; Dupont, L.; Fontaine, J.; Damas, J.; Lebrun, P.
来源:J Med Chem 2000,43(8),1456
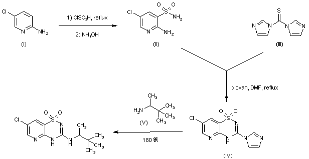
合成路线图解说明:

2-Amino-5-chloropyridine-3-sulfonamide (II) was obtained by the reaction of 2-amino-5-chloropyridine (I) with chlorosulfonic acid, followed by treatment of the sulfonyl chloride intermediate with aqueous ammonia. Condensation of amino sulfonamide (II) with thiocarbonyldiimidazole (III) produced the imidazolyl pyridothiadiazine (IV). Nucleophilic substitution of the imidazolyl group with 1,2,2-trimethylpropylamine (V) in a sealed vessel at 180 C furnished the corresponding amino pyridothiadiazine.

Drug Information Express,Drug R&D,Chemical Database,Patent Search.
Copyright © 2006-2026 Drug Future. All rights reserved.Contact Us