【药物名称】Unifiram, DM-232
化学结构式(Chemical Structure):
参考文献No.578650
标题:Design, synthesis, and preliminary pharmacological evaluation of 1,4-diazabicyclo[4.3.0]nonan-9-ones as a new class of highly potent nootropic agents
作者:Manetti, D.; Ghelardini, C.; Bartolini, A.; Bellucci, C.; Dei, S.; Galeotti, N.; Gualtieri, F.; Romanelli, M.N.; Scapecchi, S.; Teodori, E.
来源:J Med Chem 2000,43(10),1969
合成路线图解说明:

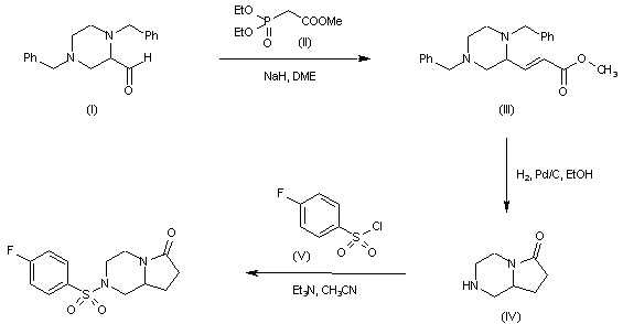
Horner-Emmons condensation of 1,4-dibenzyl-2-piperazinecarboxaldehyde (I) with phosphonate (II) gave piperazineacrylate (III). Subsequent double bond hydrogenation and hydrogenolysis of the benzyl groups of (III) produced the spontaneous cyclization of the resulting amino ester to furnish the diazabicyclononanone (IV). Finally, condensation of amine (IV) with p-fluorobenzenesulfonyl chloride (V) yielded the title sulfonamide.

Drug Information Express,Drug R&D,Chemical Database,Patent Search.
Copyright © 2006-2026 Drug Future. All rights reserved.Contact Us