【药物名称】Sabiporide mesilate
化学结构式(Chemical Structure):
参考文献No.42816
标题:Benzoylguanidine derivs. with advantageous properties, method for producing them and their use in the production of medicaments
作者:Roos, O.; Eickmeier, C.; Blech, S.-M.; B鷕ger, E. (Boehringer Ingelheim Pharma GmbH & Co. KG)
来源:DE 19843489; JP 2002538077; US 6323207; WO 0017176
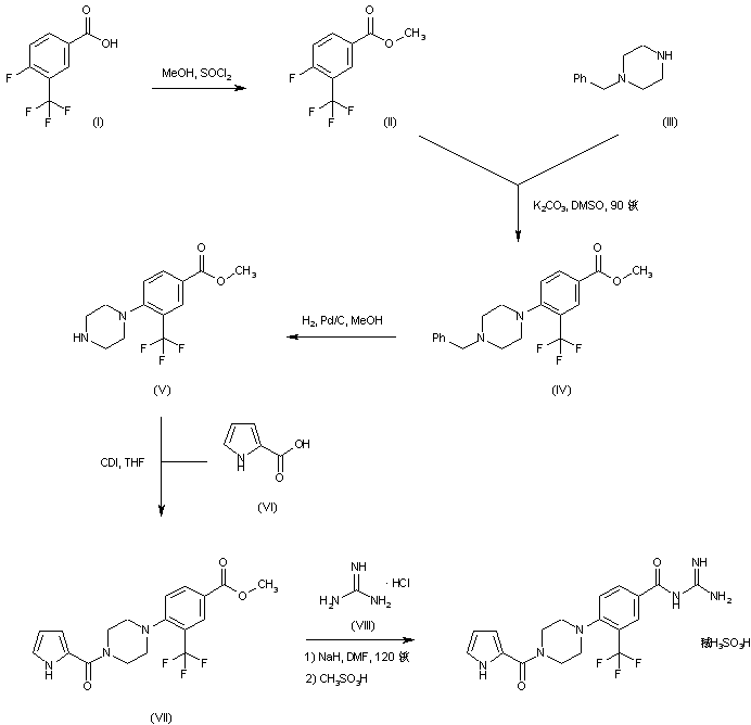
合成路线图解说明:

4-Fluoro-3-trifluoromethylbenzoic acid (I) is esterified employing MeOH and SOCl2 to afford the methyl ester (II). Displacement of the 4-fluoride of (II) with N-benzylpiperazine (III) in hot DMSO yields the piperazinyl benzoate (IV). The N-benzyl group of (IV) is then removed by hydrogenolysis over Pd/C to yield the deprotected piperazine (V), which is further coupled with 2-pyrrolecarboxylic acid (VI) by means of CDI producing amide (VII). Finally, displacement of the methyl ester of (VII) with guanidine (VIII) gives rise to the target acyl guanidine, which is converted to the corresponding mesylate salt

Drug Information Express,Drug R&D,Chemical Database,Patent Search.
Copyright © 2006-2026 Drug Future. All rights reserved.Contact Us