【药物名称】SL-65.0472
化学结构式(Chemical Structure):
参考文献No.32887
标题:Quinolein-2(1H)-one derivs. as serotonin antagonists
作者:Mc Cort, G.; Hoornaert, C.; Dellac, G.; Aletru, M. (Sanofi-Synth閘abo )
来源:EP 0850235; FR 2738822; FR 2739100; JP 1999514982; US 5958924; WO 9710238
合成路线图解说明:

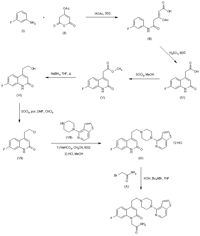
Condensation of 3-fluoroaniline (I) with the cyclic anhydride (II) in AcOH gave amide (III). Subsequent cyclization of (III) in hot H2SO4 produced quinolineacetic acid (IV). After esterification of (IV) with methanol in the presence of SOCl2, the resulting methyl ester (V) was reduced to alcohol (VI) using NaBH4 in refluxing THF. Treatment of alcohol (VI) with SOCl2 afforded chloride (VII), which was condensed with 4-(1-piperazinyl)thieno[3,2-c]pyridine (VIII) yielding adduct (IX), isolated as the dihydro-chloride salt. Finally, alkylation of the quinoline N atom of (IX) with bromoacetamide (A) under phase-transfer conditions furnished the title compound.

参考文献No.576870
标题:Topoisomerase I-mediated antiproliferative activity of enantiomerically pure fluorinated homocamptothecins
作者:Lavergne, O.; Demarquay, D.; Bailly, C.; Lanco, C.; Rolland, A.; Huchet, M.; Coulomb, H.; Muller, N.; Baroggi, N.; Camara, J.; Le Breton, C.; Manginot, E.; Cazaux, J.B.; Bigg, D.C.
来源:J Med Chem 2000,43(11),2285
合成路线图解说明:

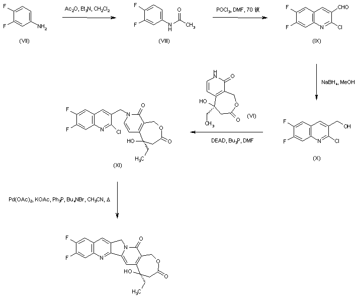
Acylation of 3,4-difluoroaniline (VII) with Ac2O and Et3N afforded acetanilide (VIII). Subsequent condensation of (VIII) with the Vilsmeier reagent produced the quinolinecarbaldehyde (IX), which was reduced to alcohol (X) using NaBH4. Coupling of (X) with pyridinone (VI) under Mitsunobu conditions yielded adduct (XI). Finally, intramolecular Heck reaction in the presence of palladium diacetate and triphenylphosphine provided the desired pentacyclic compound.

合成路线图解说明:

Condensation of 3-fluoroaniline (I) with the cyclic anhydride (II) in AcOH gave amide (III). Subsequent cyclization of (III) in hot H2SO4 produced quinolineacetic acid (IV). After esterification of (IV) with methanol in the presence of SOCl2, the resulting methyl ester (V) was reduced to alcohol (VI) using NaBH4 in refluxing THF. Treatment of alcohol (VI) with SOCl2 afforded chloride (VII), which was condensed with 4-(1-piperazinyl)thieno[3,2-c]pyridine (VIII) yielding adduct (IX), isolated as the dihydro-chloride salt. Finally, alkylation of the quinoline N atom of (IX) with bromoacetamide (A) under phase-transfer conditions furnished the title compound.

参考文献No.629131
标题:Synthesis and SAR of 3- and 4-substituted quinolin-2-ones: Discovery of mixed 5-HT1b/5-HT2A receptor antagonists
作者:McCort, G.; Hoornaert, C.; Aletru, M.; Denys, C.; Duclos, O.; Cadilhac, C.; Guilpain, E.; Dellac, G.; Janiak, P. St.; Galzin, A.M.; Delahaye, M.; Guilbert, F.; O'Connor, S.
来源:Bioorg Med Chem 2001,9(8),2129
合成路线图解说明:

Condensation of 3-fluoroaniline (I) with the cyclic anhydride (II) in AcOH gave amide (III). Subsequent cyclization of (III) in hot H2SO4 produced quinolineacetic acid (IV). After esterification of (IV) with methanol in the presence of SOCl2, the resulting methyl ester (V) was reduced to alcohol (VI) using NaBH4 in refluxing THF. Treatment of alcohol (VI) with SOCl2 afforded chloride (VII), which was condensed with 4-(1-piperazinyl)thieno[3,2-c]pyridine (VIII) yielding adduct (IX), isolated as the dihydro-chloride salt. Finally, alkylation of the quinoline N atom of (IX) with bromoacetamide (A) under phase-transfer conditions furnished the title compound.

合成路线图解说明:

The alkylation of 3-fluoroaniline (I) with 2-bromoacetamide (II) by means of KOH and Bu4NBr in THF gives 2-(3-fluorophenylamino)acetamide (III), which is condensed with 4-acetoxy-3,6-dihydro-2H-pyran-2,6-dione (IV) in Ac-OH to yield intermediate (V). The cyclization of (V) by means of H2SO4 or Ms-OH at 100?C affords the quinolone (VII), which is esterified with SOCl2 and methanol to provide the corresponding methyl ester (VII). The reduction of (VII) with NaBH4 in refluxing THF furnishes the 2-hydroxyethyl quinolone (VIII), which is treated with SOCl2 in refluxing CHCl3 to give the 2-chloroethyl derivative (IX). Finally, this compound is condensed with the arylpiperazine (X) by means of K2CO3 and KI in hot DMF to afford the desired quinolone.

Drug Information Express,Drug R&D,Chemical Database,Patent Search.
Copyright © 2006-2026 Drug Future. All rights reserved.Contact Us