【药物名称】SL-65.0155, SL-650155
化学结构式(Chemical Structure):
参考文献No.33330
标题:5-Phenyl-3-(piperidin-4-yl)-1,3,4-oxadiazol-2(3H)-one derivs. for use as 5-HT4 or H3 receptor ligands
作者:Jegham, S.; Lochead, A.; Galli, F.; Nedelec, A.; Solignac, A.; De Cruz, L. (Sanofi-Synth閘abo)
来源:EP 0863897; FR 2741069; FR 2741070; JP 2000500125; US 5929089; WO 9717345
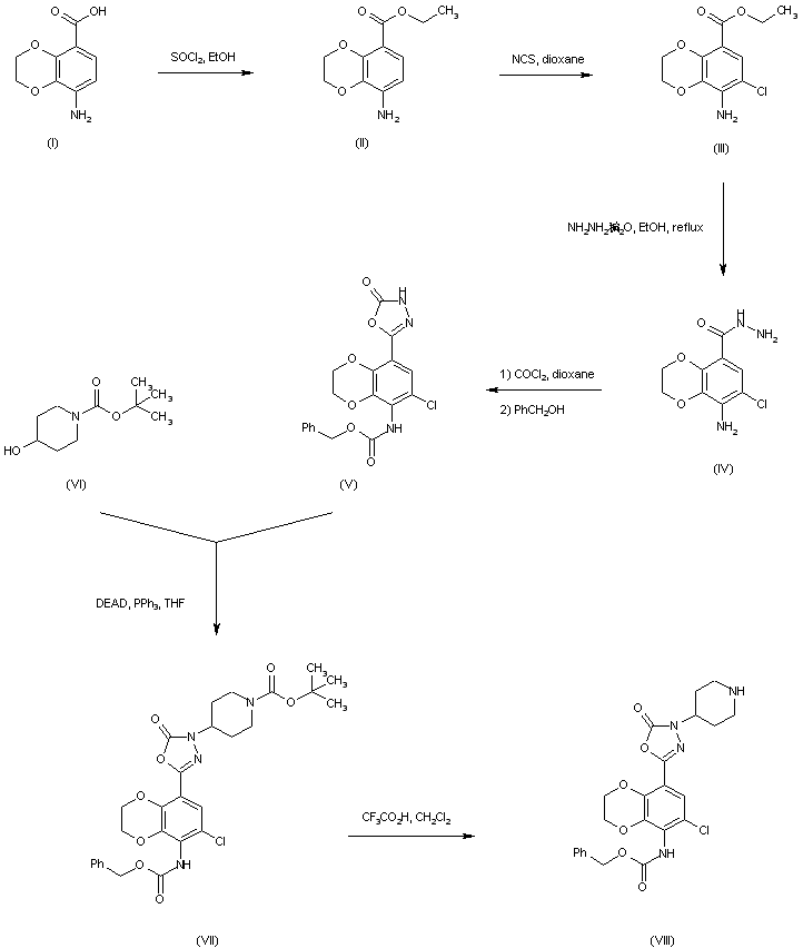
合成路线图解说明:

4-Amino-benzodioxan-1-carboxylic acid (I) is esterified to (II) employing SOCl2 in EtOH. Subsequent chlorination of benzodioxan (II) with N-chlorosuccinimide furnishes (III). The ethyl ester group of (III) is then displaced by hydrazine hydrate to produce the corresponding hydrazide (IV). Cyclization of hydrazide (IV) with phosgene, followed by quenching with benzyl alcohol leads to the oxadiazole derivative (V). This is then coupled with N-Boc-4-piperidinol (VI) under Mitsunobu conditions to yield the piperidinyl oxadiazole (VII). Selective cleavage of the N-Boc protecting group of (VII) by means of trifluoroacetic acid in CH2Cl2 gives rise to piperidine (VIII).

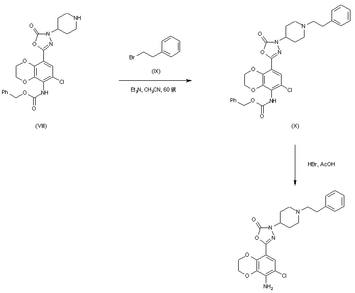
合成路线图解说明:

Piperidine (VIII) is alkylated with phenethyl bromide (IX) to furnish (X). The benzyloxycarbonyl protecting group of (X) is finally removed by treatment with HBr in AcOH to provide the title compound.

Drug Information Express,Drug R&D,Chemical Database,Patent Search.
Copyright © 2006-2026 Drug Future. All rights reserved.Contact Us