【药物名称】MLN-576, XR-11576
化学结构式(Chemical Structure):
参考文献No.49966
标题:Benzo[a]phenazin-11-carboxamide derivs. and their use as joint inhibitors of topomerase I and II
作者:Vicker, N.; Folkes, A.J.; Wang, S.; Milton, J.; Denny, W.A. (Xenova Group plc)
来源:WO 0146157
合成路线图解说明:

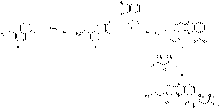
The oxidation of 5-methoxy-1-tetralone (I) with SeO2 gives 5-methoxy-1,2-naphthoquinone (II), which is cyclized with 2,3-diaminobenzoic acid (II) by means of HCl in refluxing ethanol to yield 4-methoxybenzo[a]phenazine-11-carboxylic acid (IV). Finally, this acid is converted into the target amide by its condensation with N1,N1,2(R)-trimethylethane-1,2-diamine (V) by means of CDI in DMF.

参考文献No.650870
标题:Novel angular benzophenazines: Dual topoisomerase I and topoisomerase II inhibitors as potential anticancer agents
作者:Vicker, N.; Burgess, L.; Chuckowree, I.S.; Dodd, R.; Folkes, A.J.; Hardick, D.J.; Hancox, T.C.; Miller, W.H.; Milton, J.; Sohal, S.; Wang, S.; Wren, S.P.; Charlton, P.A.; Dangerfield, W.; Liddle, C.; Mistry, P.; Stewart, A.J.; Denny, W.A.
来源:J Med Chem 2002,45(3),721
合成路线图解说明:

The oxidation of 5-methoxy-1-tetralone (I) with SeO2 gives 5-methoxy-1,2-naphthoquinone (II), which is cyclized with 2,3-diaminobenzoic acid (II) by means of HCl in refluxing ethanol to yield 4-methoxybenzo[a]phenazine-11-carboxylic acid (IV). Finally, this acid is converted into the target amide by its condensation with N1,N1,2(R)-trimethylethane-1,2-diamine (V) by means of CDI in DMF.

合成路线图解说明:

The intermediate chiral diamine (IV) (see Scheme no. 28794701a, intermediate (V)) is prepared as follows: Reduction of N-Boc-D-alanine methyl ester (I) with DIBAL affords N-Boc-alaninal (II), which is reductively aminated with dimethylamine in the presence of NaBH3CN to afford the Boc-protected diamine (III). The N-Boc group of (III) is finally removed under acidic conditions to provide the target (R)-diamine (IV).

Drug Information Express,Drug R&D,Chemical Database,Patent Search.
Copyright © 2006-2026 Drug Future. All rights reserved.Contact Us