【药物名称】NO-prednisolone, NCX-1015
化学结构式(Chemical Structure):
参考文献No.64118
标题:New corticosteroids
作者:Del Soldato, P.; Ongini, E. (NicOx SA)
来源:WO 0364443
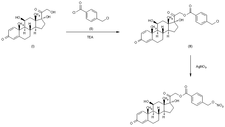
合成路线图解说明:

The esterification of prednisolone (I) with 4-(chloromethyl)benzoyl chloride (II) by means of TEA in THF gives the corresponding benzoate (II),which is treated with silver nitrate in refluxing acetonitrile/THF to yield the target nitrate ester.

Drug Information Express,Drug R&D,Chemical Database,Patent Search.
Copyright © 2006-2026 Drug Future. All rights reserved.Contact Us