【药物名称】
化学结构式(Chemical Structure):
参考文献No.48986
标题:Pyridyl-containing spirocyclic cpds. as inhibitors of fibrinogen-dependent platelet aggregation
作者:Smyth, M.; Pandey, A.; Mehrota, M.; Scarborough, R.M. (COR Therapeutics, Inc.)
来源:WO 0130780
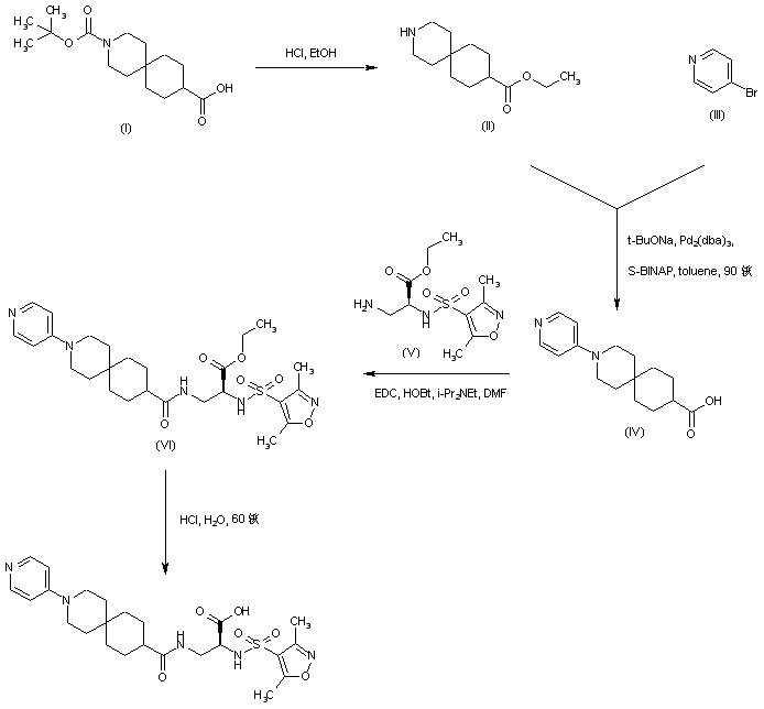
合成路线图解说明:

The N-Boc protected azaspirocarboxylic acid (I) was simultaneously deprotected and esterified with ethanolic HCl to produce ester (II). Palladium-catalyzed coupling of azaspirocycle (II) with 4-bromopyridine (III) afforded the pyridyl-azaspirocarboxylic acid (IV). This was then condensed with the known amino ester (V) using EDC and HOBt to yield amide (VI). Finally, acid hydrolysis of the ethyl ester group of (VI) furnished the title compound.

Drug Information Express,Drug R&D,Chemical Database,Patent Search.
Copyright © 2006-2026 Drug Future. All rights reserved.Contact Us