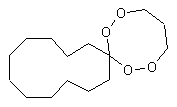
【药物名称】N-89
化学结构式(Chemical Structure):
参考文献No.575880
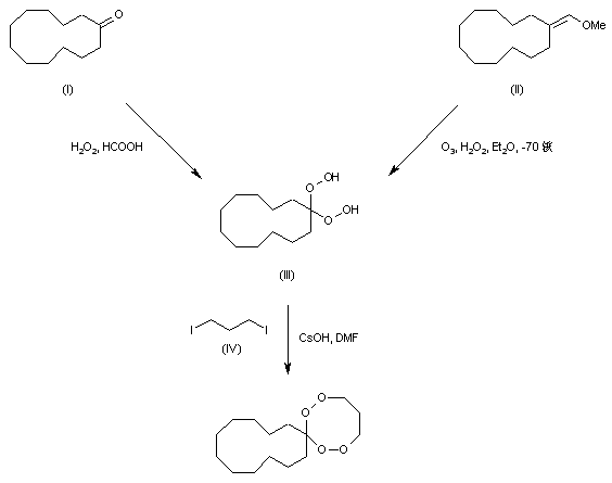
标题:Synthesis, crystal structure and anti-malarial activity of novel spiro-1,2,4,5-tetraoxacycloalkanes
作者:Tsuchiya, K.; et al.
来源:Tetrahedron Lett 1999,40(21),4077
合成路线图解说明:

Bishydroperoxide (III) was prepared by treatment of cyclododecanone (I) with hydrogen peroxide in formic acid or, alternatively, by ozonolysis of vinyl ether (II) in the presence of hydrogen peroxide at -70 C. Alkylation of bishydroperoxide (III) with 1,3-diiodopropane (IV) and CsOH in DMF furnished the title spirotetraoxane.

Drug Information Express,Drug R&D,Chemical Database,Patent Search.
Copyright © 2006-2026 Drug Future. All rights reserved.Contact Us