【药物名称】
化学结构式(Chemical Structure):
参考文献No.38340
标题:Benzamido derivs. and medicinal compsns. containing the same
作者:Kato, S.; Yoshida, N.; Harada, H.; Toyotomi, Y.; Morikage, S. (Dainippon Pharmaceutical Co., Ltd.)
来源:JP 1999001472
合成路线图解说明:

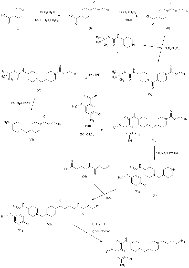
Isonipecotic acid (I) was protected with benzyl chloroformate and the resultant 1-(benzyloxycarbonyl)piperidine-4-carboxylic acid (II) was subsequently converted to the corresponding acid chloride (III) by treatment with SOCl2. Coupling of acid chloride (III) with 4-(tert-butoxycarbonylamino)piperidine (IV) afforded the piperidinyl amide (V), which was further reduced with BH3 to the piperidinylmethyl piperidine (VI). Aminopiperidine (VII), obtained by acidic cleavage of the N-Boc group of (VI), was then coupled with 4-amino-5-chloro-2-methoxybenzoic acid (VIII) to provide amide (IX). Deprotection of the N-benzyloxycarbonyl group was carried out by means of methanesulfonic acid in the presence of anisole to give (X). Acylation of piperidine (X) with the protected aminoacid (XI) yielded amide (XII). Then, selective reduction of the aliphatic amide function, followed by deprotection of the amino group provided the title compound.

参考文献No.666195
标题:Novel N-[1-(1-substituted 4-piperidinylmethyl)-4-piperidinyl]benzamides as potent colonic prokinetic agents
作者:Harada, H.; Yamazaki, H.; Toyotomi, Y.; Tateishi, H.; Mine, Y.; Yoshida, N.; Kato, S.
来源:Bioorg Med Chem Lett 2002,12(6),967
合成路线图解说明:

Isonipecotic acid (I) was protected with benzyl chloroformate and the resultant 1-(benzyloxycarbonyl)piperidine-4-carboxylic acid (II) was subsequently converted to the corresponding acid chloride (III) by treatment with SOCl2. Coupling of acid chloride (III) with 4-(tert-butoxycarbonylamino)piperidine (IV) afforded the piperidinyl amide (V), which was further reduced with BH3 to the piperidinylmethyl piperidine (VI). Aminopiperidine (VII), obtained by acidic cleavage of the N-Boc group of (VI), was then coupled with 4-amino-5-chloro-2-methoxybenzoic acid (VIII) to provide amide (IX). Deprotection of the N-benzyloxycarbonyl group was carried out by means of methanesulfonic acid in the presence of anisole to give (X). Acylation of piperidine (X) with the protected aminoacid (XI) yielded amide (XII). Then, selective reduction of the aliphatic amide function, followed by deprotection of the amino group provided the title compound.

Drug Information Express,Drug R&D,Chemical Database,Patent Search.
Copyright © 2006-2026 Drug Future. All rights reserved.Contact Us