【药物名称】CGP-79807
化学结构式(Chemical Structure):
参考文献No.613185
标题:Chemistry and biological characterization of CGP79807, a highly selective CDK1/2 inhibitor
作者:Br黦gen, J.; Caravatti, G.; Capraro, H.-G.; et al.
来源:221st ACS Natl Meet (April 1 2001, San Diego) 2001,Abst MEDI 150
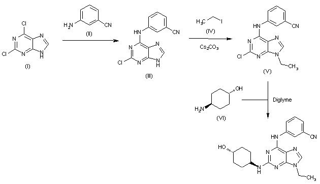
合成路线图解说明:

Condensation between dichloropurine (I) and substituted aniline (II) in pentanol affords derivative (III), which is then alkylated with ethyl iodide (IV) by means of Cs2CO3 in DMF to provide purine (V). Finally, the desired compound is obtained by attack of amine (VI) and displacement of the chlorine atom of derivative (V) in diglyme.

Drug Information Express,Drug R&D,Chemical Database,Patent Search.
Copyright © 2006-2026 Drug Future. All rights reserved.Contact Us