【药物名称】GFB-111
化学结构式(Chemical Structure):
参考文献No.540229
标题:Protein surface recognition by synthetic receptors: A route to novel submicromolar inhibitors for alpha-chymotrypsin
作者:Park, H.S.; et al.
来源:J Am Chem Soc 1999,121(1),8
合成路线图解说明:

The cyclic peptide precursor (XIV) was prepared by solid-phase synthesis on a preformed HMPB-MBHA resin. Attachment of N-Fmoc-glycine (I) to the resin by means of DCC and DMAP afforded resin (II). The Fmoc protecting group was then removed with piperidine in DMF, yielding the glycine-bound resin (III). Further couplings with the following protected amino acids: N-Fmoc-3-(aminomethyl)-5-nitrobenzoic acid (IV), N-Fmoc-L-tyrosine(O-t-butyl) (VI) and N-Fmoc-glycine (I), followed by Fmoc deprotection cycles, produced in turn the peptide resins (V), (VII) and (VIII). To peptide resin (VIII) was then coupled N-Fmoc-L-aspartic acid gamma-t-butyl ester (IX), yielding resin (X). Peptide (XI) was then liberated from the resin by means of 1% trifluoroacetic acid in CH2Cl2. The Fmoc group was subsequently removed by treatment with diethylamine in acetonitrile, giving (XII).

合成路线图解说明:

Compound (XII) was cyclized to (XIII) employing BOP and HOBt. The nitro group was then reduced to the corresponding amino derivative (XIV) by catalytic hydrogenation over Pd/C.

合成路线图解说明:

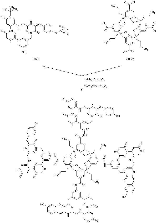
Calix[4]arene (XXI) was alkylated with n-butyl bromide (XXII) and NaH to produce the tetrabutyl ether (XXIII). Formylation of (XXIII) with dichloromethyl methyl ether and TiCl4 yielded the aldehyde (XXIV), which was further oxidized to the tetracarboxylic acid (XXV) using sodium chlorite. Then, treatment of (XXV) with oxalyl chloride and DMF gave the corresponding acid chloride (XXVI).

合成路线图解说明:

Coupling of the cyclic peptide (XIV) with tetraacid chloride (XXVI) produced the corresponding tetraamide. The O-tert-butyl groups were then removed by treatment with trifluoroacetic acid to produce the title compound.

参考文献No.628542
标题:Protein surface recognition by synthetic receptors
作者:Lin, Q.; et al.
来源:NATO ASI Series. Series C: Mathematical and Physical Sciences 1999,527197
合成路线图解说明:

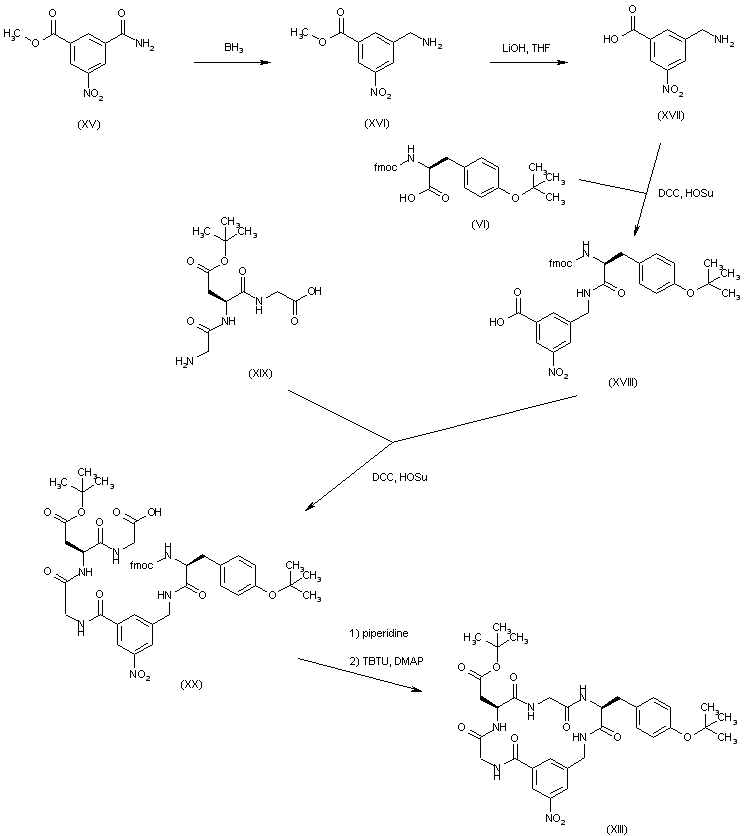
In an alternative method for the solution-phase synthesis of this intermediate, methyl 3-carbamoyl-5-nitrobenzoate (XV) was reduced with borane to amino ester (XVI), which was subsequently hydrolyzed to the corresponding amino acid (XVII). Coupling of amino acid (XVII) with N-Fmoc-L-tyrosine(O-t-butyl) (VI) using DCC and N-hydroxysuccinimide produced dipeptide (XVIII). This was then coupled with the tripeptide H-Gly-Asp(t-Bu)-Gly-OH (XIX) to yield the linear peptide (XX). After Fmoc deprotection, cyclization in the presence of TBTU and DMAP furnished the cyclic peptide (XIII), which was further reduced to the amino derivative (XIV) as above.

合成路线图解说明:

Calix[4]arene (XXI) was alkylated with n-butyl bromide (XXII) and NaH to produce the tetrabutyl ether (XXIII). Formylation of (XXIII) with dichloromethyl methyl ether and TiCl4 yielded the aldehyde (XXIV), which was further oxidized to the tetracarboxylic acid (XXV) using sodium chlorite. Then, treatment of (XXV) with oxalyl chloride and DMF gave the corresponding acid chloride (XXVI).

合成路线图解说明:

Coupling of the cyclic peptide (XIV) with tetraacid chloride (XXVI) produced the corresponding tetraamide. The O-tert-butyl groups were then removed by treatment with trifluoroacetic acid to produce the title compound.

Drug Information Express,Drug R&D,Chemical Database,Patent Search.
Copyright © 2006-2026 Drug Future. All rights reserved.Contact Us