【药物名称】NSC-D703786, NSC-703786, 5F-DF-203, 5F-203
化学结构式(Chemical Structure):
参考文献No.48027
标题:Substd. 2-arylbenzazole cpds. and their use as antitumour agents
作者:Chua, M.-S.; Westwell, A.D.; Hutchinson, I.P.; Stevens, M.F.G.; Poole, T.D. (Cancer Research Campaign Technology Ltd.)
来源:WO 0114354
合成路线图解说明:

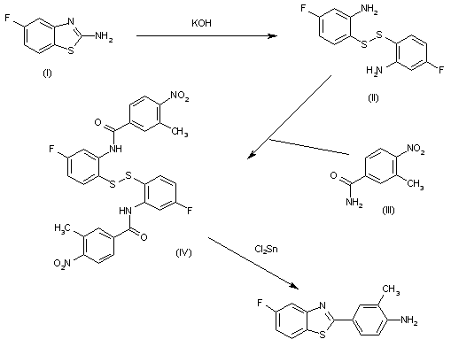
The reaction of 5-fluorobenzothiazol-2-amine (I) with KOH in refluxing water gives the disulfide (II), which is treated with 3-methyl-4-nitrobenzoyl chloride (III) in refluxing pyridine to yield the bis-benzamide (IV). Finally, this compound is reductively cyclized by reaction with SnCl2 and HCl in ethanol/water to afford the target aminophenyl benzothiazole.

合成路线图解说明:

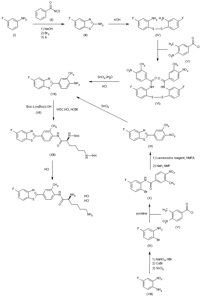
Synthesis of intermediate (VII): Conversion of 3-fluoroaniline (I) into 2-amino-5-fluorobenzothiazole (III) can be achieved by first coupling with isocyanate (II) followed by hydrolysis with NaOH, reaction with Br2 and finally heating treatment. Dimerization of substituted benzothiazole (III) by means of refluxing aqueous KOH yields disulfide derivative (IV), which is then condensed with substituted benzoyl chloride (V) in refluxing pyridine to afford derivative (VI). Finally, (VI) is converted into intermediate (VII) by treatment with SnCl2 dihydrate in refluxing HCl/EtOH. Alternatively, intermediate (VII) can be synthesized as follows: substituted aniline (VIII) is first brominated via a Sandmeyer reaction with NaNO2 in HBr and CuBr, and then the nitro group is reduced with SnCl2 in refluxing EtOH to provide derivative (IX). Condensation of (IX) with substituted benzoyl chloride (V) in refluxing pyridine yields amide (X), which is then first treated with Lawesson's reagent and HMPA and then with NaH in NMP to afford benzothiazole derivative (XI). Finally, the nitro group of (XI) is reduced with SnCl2 in refluxing EtOH to yield intermediate (VII). Synthesis of EN 295753: The desired compound can finally be obtained by coupling of intermediate (VII) with Boc-Lys(Boc)-OH (XII) by means of carbodiimide WSC.HCl and HOBt in CH2Cl2, followed by Boc removal with HCl (gas) in CH2Cl2.

参考文献No.577861
标题:The regiospecific synthesis of 5- and 7-monosubstituted and 5,6-disubstituted 2-arylbenzothiazoles
作者:Hutchinson, I.; et al.
来源:Tetrahedron Lett 2000,41(3),425
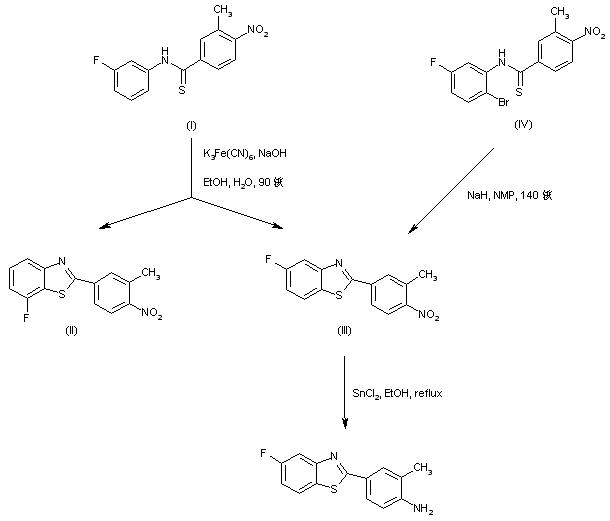
合成路线图解说明:

Jacobsen radical cyclization of thiobenzanilide (I) in the presence of potassium ferricyanide produced a mixture of the desired benzothiazole (III) and minor amounts of its regioisomer (II). An alternative regiospecific synthesis of (III) consisted in the intramolecular cyclization of the ortho-bromo thiobenzanilide (IV) by means of NaH in hot NMP. Further reduction of the nitro group of (III) using SnCl2 in EtOH gave the desired amino compound.

Drug Information Express,Drug R&D,Chemical Database,Patent Search.
Copyright © 2006-2026 Drug Future. All rights reserved.Contact Us