【药物名称】E-7820, ER-68203-00
化学结构式(Chemical Structure):
参考文献No.44765
标题:Sulfonamide-containing indole cpds.
作者:Kamata, J.; Semba, T.; Nara, K.; Ohwa, T.; Hata, N.; Haneda, T.; Funahashi, Y.; Hamaoka, S.; Tsuruoka, A.; Ueda, N.; Wakabayashi, T.; Ozawa, Y.; Yamamoto, Y.; Okabe, T.; Takahashi, K.; Tsukahara, N. (Eisai Co., Ltd.)
来源:EP 1074542; JP 2000247949; WO 0050395
合成路线图解说明:

The synthesis of intermediate (VIII) can be achieved by following two different routes: 1) Treatment of 2-bromo-5-methylnitrobenzene (I) with vinyl magnesium bromide (II) in THF yields bromoindole derivative (III), which is then converted into carboxylic acid (IV) by means of BuLi and CO2 in THF. Treatment of (IV) with diphenylphosphoryl azide (DPPA) and Et3N converts the carboxylic group into an amine intermediate which is then treated with hot t-BuOH to afford derivative (V). Formylation of (V) by means of DMF, POCl3 and aqueous NaOH provides aldehyde (VI), which is then treated with hydroxylamine (NH2OH), pyridine and N,N'-carbonyldiimidazole (CDI) and then heated with Et3N to furnish cyano derivative (VII). Finally, removal of the Boc group of (VII) by treatment with TFA in CH2Cl2 gives intermediate (VIII). 2) Alternatively, conversion of 5-methyl-2-nitroaniline (IX) into hydrazone derivative (XI) is achieved by first reaction with NaNO2 in hydrochloric acid media followed by condensation with ethyl 2-methylacetoacetate (X) in EtOH and aqueous KOH. Treatment of (XI) with refluxing H3PO4 in xylene yields indole derivative (XII), which is hydrolyzed by means of aqueous NaOH in THF to afford carboxylic acid (XIII). Decarboxylation of (XIII) with CuCO3 in 1,3-dimethyl-2-imidazolidinone furnishes 4-methyl-7-nitro-1H-indole (XIV), which is then formylated by means of DMF, POCl3 and aqueous NaOH to give aldehyde (XV). Conversion of formyl derivative (XV) into cyano derivative (XVI) is achieved by treatment with hydroxylamine (NH2OH), pyridine and N,N'-carbonyldiimidazole (CDI) followed by heating with Et3N. Finally, hydrogenation of the nitro group of (XVI) over PtO2 affords the target intermediate (VIII).

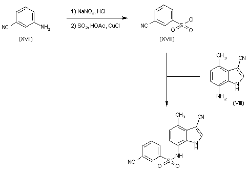
合成路线图解说明:

Synthesis of EN 287632: 3-Cyanoaniline (XVII) is converted into 3-cyanobenzenesulfonyl chloride (XVIII) by first treatment with NaNO2 in H2O/HCl followed by reaction with HOAc saturated with SO2 and CuCl. To obtain the final compound, sulfonyl chloride derivative (XVIII) is condensed with intermediate (VIII) by means of pyridine in THF.

Drug Information Express,Drug R&D,Chemical Database,Patent Search.
Copyright © 2006-2026 Drug Future. All rights reserved.Contact Us