【药物名称】Pyroxamide, NSC-696085
化学结构式(Chemical Structure):
参考文献No.631709
标题:A phase I dose escalation and bioavailability study of oral sodium phenylbutyrate in patients with refractory solid tumor malignancies
作者:Gilbert, J.; Baker, S.D.; Bowling, M.K.; Grochow, L.; Figg, W.D.; Zabelina, Y.; Donehower, R.C.; Carducci, M.A.
来源:Clin Cancer Res 2001,7(8),2292
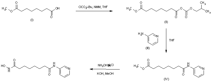
合成路线图解说明:

Monomethyl suberate (I) is treated with isobutyl chloroformate to produce the mixed anhydride (II), which is subsequently coupled with 3-aminopyridine (III), yielding amide (IV). The methyl ester group of (IV) is finally converted to the target hydroxamate upon treatment with methanolic hydroxylamine.

Drug Information Express,Drug R&D,Chemical Database,Patent Search.
Copyright © 2006-2026 Drug Future. All rights reserved.Contact Us