【药物名称】
化学结构式(Chemical Structure):
参考文献No.33176
标题:Cyclopentyl tachykinin receptor antagonists
作者:Finke, P.E.; Maccoss, M.; Meurer, L.C.; Mills, S.G.; Caldwell, C.G.; Chen, P.; Durette, P.L.; Hale, J.; Holson, E.; Kopka, I.; Robichaud, A. (Merck & Co., Inc.)
来源:EP 0858444; WO 9714671
合成路线图解说明:

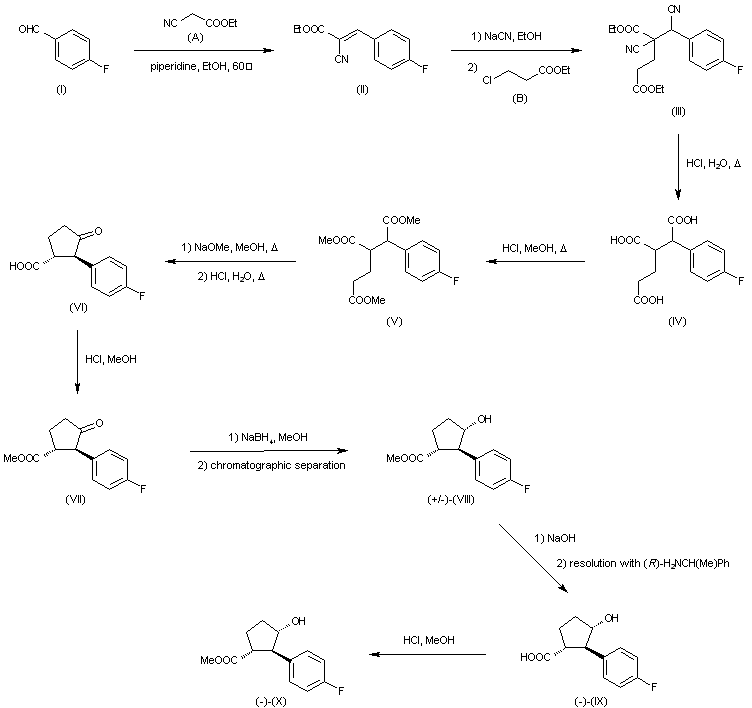
Knoevenagel condensation of 4-fluorobenzaldehyde (I) with ethyl cyanoacetate (A) gave adduct (II). Subsequent conjugate addition of NaCN to (II), followed by alkylation with ethyl 3-chloropropionate (B) furnished the dicyano diester (III). Acid hydrolysis of (III), with concomitant decarboxylation, afforded tricarboxylic acid (IV), which was further esterified with methanolic HCl to give ester (V). Dieckmann cyclization of (V) using NaOMe, and then hydrolysis and decarboxylation gave rise to the racemic trans ketoacid (VI). Esterification of (VI), and reduction of the resulting keto ester (VII) with NaBH4 produced a mixture of diastereomeric alcohols. The desired trans,trans-isomer (VIII) was then isolated by column chromatography. Ester hydrolysis of (VIII) and re-solution as the corresponding salt with (R)-alpha-methylbenzylamine furnished the (-)-hydroxy acid (IX) that was esterified to (X) with methanolic HCl.

合成路线图解说明:

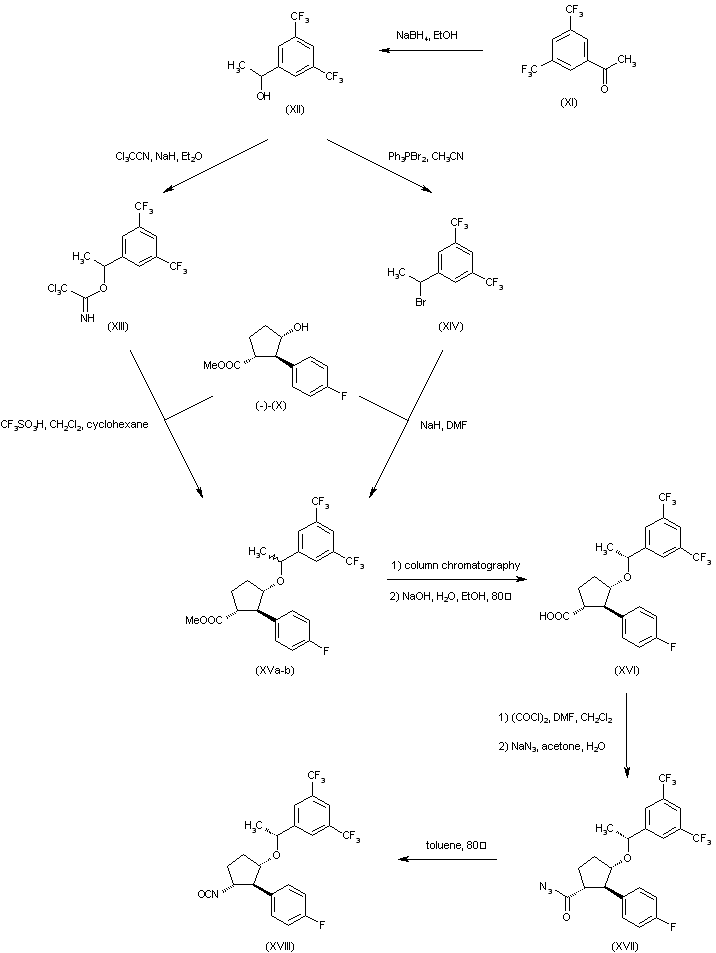
Reduction of 3',5'-bis(trifluoromethyl)acetophenone (XI) with NaBH4 gave alcohol (XII). This was either converted to imidate (XIII) by addition of trichloroacetonitrile, or to bromide (XIV) upon treatment with triphenylphosphine dibromide. Condensation of the chiral hydroxy ester (-)-(X) with imidate (XIII) in the presence of triflic acid provided ether (XVa-b) as a diastereomeric mixture. Alternatively, (XV) was obtained by alkylation of alcohol (-)-(X) with bromide (XIV). Cromatographic separation of the diastereomeric mixture (XVa-b), followed by basic hydrolysis of the desired isomer yielded carboxylic acid (XVI). Activation of the carboxyl group of (XVI) as the corresponding acid chloride by means of oxalyl chloride, and subsequent treatment with NaN3 generated the acyl azide (XVII). Curtius rearrangement ot the acyl azide (XVII) in hot toluene provided isocyanate.

合成路线图解说明:

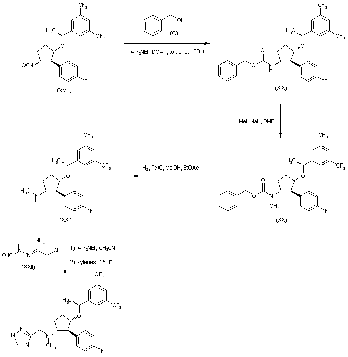
Addition of benzyl alcohol (C) to isocyanate (XVIII) gave rise to carbamate (XIX), which was further N-alkylated with iodomethane and NaH. Hydrogenolysis of carbamate (XX) over Pd/C produced methyl amine (XXI). This was then converted to the target triazolylmethyl derivative by alkylation with N-formyl-2-chloroacetamidrazone (XXII), followed by thermal cyclization in refluxing xylene.

参考文献No.36043
标题:Cycloalkyl tachykinin receptor antagonists
作者:Caldwell, C.G.; Chen, P.; Durette, P.L.; Finke, P.; Hale, J.; Holson, E.; Kopka, I.; Maccoss, M.; Meurer, L.; Mills, S.G.; Robichaud, A. (Merck & Co., Inc.)
来源:US 5750549
合成路线图解说明:

Knoevenagel condensation of 4-fluorobenzaldehyde (I) with ethyl cyanoacetate (A) gave adduct (II). Subsequent conjugate addition of NaCN to (II), followed by alkylation with ethyl 3-chloropropionate (B) furnished the dicyano diester (III). Acid hydrolysis of (III), with concomitant decarboxylation, afforded tricarboxylic acid (IV), which was further esterified with methanolic HCl to give ester (V). Dieckmann cyclization of (V) using NaOMe, and then hydrolysis and decarboxylation gave rise to the racemic trans ketoacid (VI). Esterification of (VI), and reduction of the resulting keto ester (VII) with NaBH4 produced a mixture of diastereomeric alcohols. The desired trans,trans-isomer (VIII) was then isolated by column chromatography. Ester hydrolysis of (VIII) and re-solution as the corresponding salt with (R)-alpha-methylbenzylamine furnished the (-)-hydroxy acid (IX) that was esterified to (X) with methanolic HCl.

合成路线图解说明:

Reduction of 3',5'-bis(trifluoromethyl)acetophenone (XI) with NaBH4 gave alcohol (XII). This was either converted to imidate (XIII) by addition of trichloroacetonitrile, or to bromide (XIV) upon treatment with triphenylphosphine dibromide. Condensation of the chiral hydroxy ester (-)-(X) with imidate (XIII) in the presence of triflic acid provided ether (XVa-b) as a diastereomeric mixture. Alternatively, (XV) was obtained by alkylation of alcohol (-)-(X) with bromide (XIV). Cromatographic separation of the diastereomeric mixture (XVa-b), followed by basic hydrolysis of the desired isomer yielded carboxylic acid (XVI). Activation of the carboxyl group of (XVI) as the corresponding acid chloride by means of oxalyl chloride, and subsequent treatment with NaN3 generated the acyl azide (XVII). Curtius rearrangement ot the acyl azide (XVII) in hot toluene provided isocyanate.

合成路线图解说明:

Addition of benzyl alcohol (C) to isocyanate (XVIII) gave rise to carbamate (XIX), which was further N-alkylated with iodomethane and NaH. Hydrogenolysis of carbamate (XX) over Pd/C produced methyl amine (XXI). This was then converted to the target triazolylmethyl derivative by alkylation with N-formyl-2-chloroacetamidrazone (XXII), followed by thermal cyclization in refluxing xylene.

参考文献No.572978
标题:Discovery of potent human NK1 antagonists having a cyclopentane-based core structure
作者:MacCoss, M.; Meurer, L.C.; Finke, P.E.; et al.
来源:219th ACS Natl Meet (March 26 2000, San Francisco) 2000,Abst MEDI 98
合成路线图解说明:

Knoevenagel condensation of 4-fluorobenzaldehyde (I) with ethyl cyanoacetate (A) gave adduct (II). Subsequent conjugate addition of NaCN to (II), followed by alkylation with ethyl 3-chloropropionate (B) furnished the dicyano diester (III). Acid hydrolysis of (III), with concomitant decarboxylation, afforded tricarboxylic acid (IV), which was further esterified with methanolic HCl to give ester (V). Dieckmann cyclization of (V) using NaOMe, and then hydrolysis and decarboxylation gave rise to the racemic trans ketoacid (VI). Esterification of (VI), and reduction of the resulting keto ester (VII) with NaBH4 produced a mixture of diastereomeric alcohols. The desired trans,trans-isomer (VIII) was then isolated by column chromatography. Ester hydrolysis of (VIII) and re-solution as the corresponding salt with (R)-alpha-methylbenzylamine furnished the (-)-hydroxy acid (IX) that was esterified to (X) with methanolic HCl.

合成路线图解说明:

Reduction of 3',5'-bis(trifluoromethyl)acetophenone (XI) with NaBH4 gave alcohol (XII). This was either converted to imidate (XIII) by addition of trichloroacetonitrile, or to bromide (XIV) upon treatment with triphenylphosphine dibromide. Condensation of the chiral hydroxy ester (-)-(X) with imidate (XIII) in the presence of triflic acid provided ether (XVa-b) as a diastereomeric mixture. Alternatively, (XV) was obtained by alkylation of alcohol (-)-(X) with bromide (XIV). Cromatographic separation of the diastereomeric mixture (XVa-b), followed by basic hydrolysis of the desired isomer yielded carboxylic acid (XVI). Activation of the carboxyl group of (XVI) as the corresponding acid chloride by means of oxalyl chloride, and subsequent treatment with NaN3 generated the acyl azide (XVII). Curtius rearrangement ot the acyl azide (XVII) in hot toluene provided isocyanate.

合成路线图解说明:

Addition of benzyl alcohol (C) to isocyanate (XVIII) gave rise to carbamate (XIX), which was further N-alkylated with iodomethane and NaH. Hydrogenolysis of carbamate (XX) over Pd/C produced methyl amine (XXI). This was then converted to the target triazolylmethyl derivative by alkylation with N-formyl-2-chloroacetamidrazone (XXII), followed by thermal cyclization in refluxing xylene.

Drug Information Express,Drug R&D,Chemical Database,Patent Search.
Copyright © 2006-2026 Drug Future. All rights reserved.Contact Us