【药物名称】
化学结构式(Chemical Structure):
参考文献No.572982
标题:Selective alpha2C-adrenoceptor agonist activity of imidazole, imidazoline, and imidazoline-related derivatives
作者:Lewis, J.J.; Bare, T.M.; Horchler, C.L.; et al.
来源:219th ACS Natl Meet (March 26 2000, San Francisco) 2000,Abst MEDI 268
合成路线图解说明:

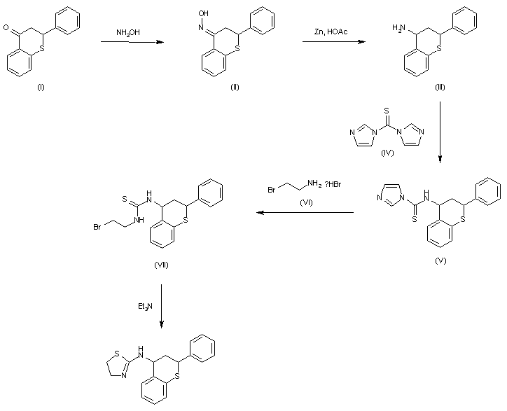
2-Phenyl-3,4-dihydro-2H-1-benzothiopyran-4-one (I) was converted to oxime (II) upon treatment with hydroxylamine, and subsequently reduced to amine (III) by means of Zn and HOAc. Condensation of (III) with thiocarbonyl diimidazole (IV) produced the thioimidazolide (V), that was displaced with 2-bromoethyl amine (VI) to furnish thiourea (VII). Finally, cyclization of the N-(bromoethyl)thiourea (VII) in the presence of Et3N produced the target thiazoline derivative.

Drug Information Express,Drug R&D,Chemical Database,Patent Search.
Copyright © 2006-2026 Drug Future. All rights reserved.Contact Us