【药物名称】
化学结构式(Chemical Structure):
参考文献No.573046
标题:Cyclin-dependent kinase inhibition by new C-2 alkynylated purine derivatives and molecular structure of a CDK2 - Inhibitor complex
作者:Legraverend, M.; Tunnah, P.; Noble, M.; Ducrot, P.; Ludwig, O.; Grierson, D.S.; Leost, M.; Meijer, L.; Endicott, J.
来源:J Med Chem 2000,43(7),1282
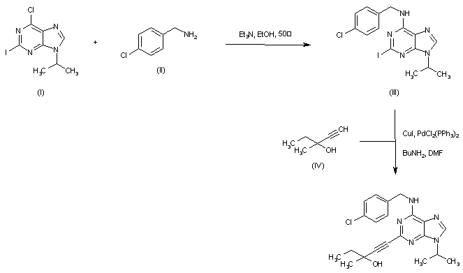
合成路线图解说明:

Condensation of 6-chloro-2-iodo-9-isopropylpurine (I) with 4-chlorobenzylamine (II) in hot EtOH afforded the 6-(benzylamino)purine (III). Subsequent Suzuki coupling of (III) with 3-methylpent-1-yn-3-ol (IV) in the presence of Pd(0) and CuI produced the target 2-ethynylpurine derivative.

Drug Information Express,Drug R&D,Chemical Database,Patent Search.
Copyright © 2006-2026 Drug Future. All rights reserved.Contact Us