【药物名称】
化学结构式(Chemical Structure):
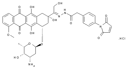
参考文献No.803860
标题:Synthesis and stability of four maleimide derivatives of the anticancer drug doxorubicin for the preparation of cemoinmunoconjugates
作者:Kratz, F.; Schumacher, P.; Beyer, U.; Zahn, H.; Unger, C.; Kr黦er, M.
来源:Chem Pharm Bull 1997,45(2),399-401
合成路线图解说明:

The title hydrazone was prepared by condensation of doxorubicin hydrochloride (I) with 4-maleimidophenylacetic acid hydrazide trifluoroacetate salt (II) in methanol.

Drug Information Express,Drug R&D,Chemical Database,Patent Search.
Copyright © 2006-2026 Drug Future. All rights reserved.Contact Us